|
|
| Inhaltsübersicht | |
| Erster Teil Wahl der Bürgerschaft | |
| Erster Abschnitt Vorbereitung der Wahl | |
| 1. Wahlbezirke | |
| § 1 | Allgemeine Wahlbezirke |
| § 2 | Sonderwahlbezirke |
| 2. Wahlorgane | |
| § 3 | Landeswahlleiter und Wahlbereichsleiter |
| § 4 | Bildung der Wahlausschüsse |
| § 5 | Tätigkeit der Wahlausschüsse |
| § 6 | Wahlvorsteher und Wahlvorstand |
| § 6a | Urnenwahlvorstand |
| § 7 | Briefwahlvorstand |
| § 8 | Auszählwahlvorstand |
| § 9 | Wahlehrenämter |
| § 10 | Entschädigung für Inhaber von Wahlehrenämtern |
| 3. Wählerverzeichnis | |
| § 11 | Inhalt des Wählerverzeichnisses |
| § 12 | Eintragung der Wahlberechtigten in das Wählerverzeichnis |
| § 13 | Benachrichtigung der Wahlberechtigten |
| § 14 | Bekanntmachung über das Recht auf Einsicht in das Wählerverzeichnis und die Erteilung von Wahlscheinen |
| § 15 | Einsicht in das Wählerverzeichnis |
| § 16 | Einspruch gegen das Wählerverzeichnis und Beschwerde |
| § 17 | Berichtigung des Wählerverzeichnisses |
| § 18 | Abschluß des Wählerverzeichnisses |
| 4. Wahlscheine | |
| § 19 | Voraussetzungen für die Erteilung von Wahlscheinen |
| § 20 | Zuständige Behörde, Form des Wahlscheines |
| § 21 | Wahlscheinanträge |
| § 22 | Erteilung von Wahlscheinen |
| § 23 | Erteilung von Wahlscheinen an bestimmte Personengruppen |
| § 24 | Vermerk im Wählerverzeichnis |
| § 25 | Einspruch gegen die Versagung des Wahlscheines und Beschwerde |
| 5. Wahlvorschläge, Stimmzettel | |
| § 26 | Aufforderung zur Einreichung von Wahlvorschlägen |
| § 27 | Beteiligungsanzeige, Mängelbeseitigung |
| § 28 | Inhalt und Form der Wahlvorschläge |
| § 29 | Vorprüfung der Wahlvorschläge |
| § 30 | Zulassung der Wahlvorschläge |
| § 31 | Beschwerde gegen Entscheidungen des Wahlbereichsausschusses |
| § 32 | Bekanntmachung der Wahlvorschläge |
| § 33 | Stimmzettel, Umschläge für die Briefwahl |
| 6. Wahlräume, Wahlzeit | |
| § 34 | Wahlräume |
| § 35 | Wahlzeit |
| § 36 | Wahlbekanntmachung der Gemeindebehörde |
| Zweiter Abschnitt Wahlhandlung | |
| 1. Allgemeine Bestimmungen | |
| § 37 | Ausstattung des Urnenwahlvorstandes |
| § 38 | Wahlkabinen |
| § 39 | Wahlurnen |
| § 40 | Wahltisch |
| § 41 | Eröffnung der Wahlhandlung |
| § 42 | Öffentlichkeit |
| § 43 | Ordnung im Wahlraum |
| § 44 | Stimmabgabe |
| § 45 | Stimmabgabe von Wählern mit Behinderungen |
| § 46 | Stimmabgabe von Inhabern eines Wahlscheines |
| § 47 | Schluß der Wahlhandlung |
| 2. Besondere Regelungen | |
| § 48 | Wahl in Sonderwahlbezirken |
| § 49 | Stimmabgabe in kleineren Krankenhäusern, kleineren Alten- oder Pflegeheimen, sozialtherapeutischen Anstalten und Justizvollzugsanstalten |
| § 50 | Briefwahl |
| § 50a | Öffentlichkeit |
| Dritter Abschnitt Ermittlung und Feststellung der Wahlergebnisse | |
| § 51 | Feststellungen durch den Urnenwahlvorstand |
| § 52 | Einsatz elektronischer Datenverarbeitung bei der Ermittlung des Wahlergebnisses |
| § 53 | Ausstattung des Auszählwahlvorstandes |
| § 54 | Feststellung des Wahlergebnisses im Wahlbezirk |
| § 54a | Zählung der Wähler durch den Auszählwahlvorstand |
| § 54b | Verfahren der Stimmauszählung durch den Auszählwahlvorstand |
| § 55 | Behandlung der Wahlbriefe, Vorbereitung der Ermittlung und Feststellung des Briefwahlergebnisses |
| § 55a | Zulassung der Wahlbriefe, Tätigkeit des Briefwahlvorstandes |
| § 55b | Ermittlung und Feststellung des Ergebnisses der Briefwahlbezirke; weitere Bestimmungen zur Briefwahl |
| § 56 | Ermittlung und Feststellung des Wahlergebnisses der Unionsbürger |
| § 57 | Bekanntgabe des Wahlergebnisses |
| § 57a | Schnellmeldungen, vorläufige Wahlergebnisse |
| § 58 | Wahlniederschrift |
| § 59 | Übergabe und Verwahrung der Wahlunterlagen |
| § 59a | Ermittlung und Feststellung des Wahlergebnisses der Unionsbürger |
| § 60 | Ermittlung und Feststellung des Wahlergebnisses im Wahlbereich |
| § 60a | Ermittlung und Feststellung des Wahlergebnisses zur Stadtbürgerschaft |
| § 61 | Abschließende Ermittlung und Feststellung des Wahlergebnisses im Land |
| § 62 | Benachrichtigung der gewählten Bewerber |
| § 63 | Überprüfung der Wahl durch den Landeswahlleiter |
| Vierter Abschnitt Nachwahl, Wiederholungswahl, Berufung von Listennachfolgern | |
| § 64 | Nachwahl |
| § 65 | Wiederholungswahl |
| § 66 | Berufung von Listennachfolgern |
| Zweiter Teil Wahl der Stadtverordnetenversammlung der Stadt Bremerhaven | |
| § 67 | Anwendung der Landeswahlordnung |
| § 68 | Wahlorgane, Wahlbezirke, Wahlräume |
| § 69 | Wählerverzeichnis |
| § 70 | Wahlbenachrichtigung |
| § 71 | Wahlscheine |
| § 72 | Wahlvorschläge |
| § 73 | Stimmzettel, Wahlurne, Briefwahl |
| § 74 | Wahlbekanntmachung |
| § 75 | Feststellungen des Urnenwahlvorstandes |
| § 75a | Feststellung des Wahlergebnisses im Wahlbezirk |
| § 75b | Zulassung der Wahlbriefe, Tätigkeit des Briefwahlvorstandes |
| § 75c | Ermittlung und Feststellung des Ergebnisses der Briefwahlbezirke; weitere Bestimmungen zur Briefwahl |
| § 76 | Benachrichtigung der gewählten Bewerber |
| § 77 | Überprüfung der Wahl durch den Stadtwahlleiter und den Landeswahlleiter |
| § 77a | Einzelbewerber |
| Dritter Teil Wahl der Beiräte im Gebiet der Stadt Bremen | |
| § 78 | Anwendung der Landeswahlordnung |
| § 79 | Wahlbezirke, Wahlräume, Wahlvorstände |
| § 80 | Wählerverzeichnis |
| § 81 | Wahlbenachrichtigung |
| § 82 | Wahlscheine |
| § 83 | Wahlvorschläge |
| § 84 | Stimmzettel, Wahlurne, Briefwahl |
| § 85 | Wahlbekanntmachung |
| § 86 | Feststellungen des Urnenwahlvorstandes |
| § 86a | Feststellung des Wahlergebnisses im Wahlbezirk |
| § 87 | Zulassung der Wahlbriefe, Tätigkeit des Briefwahlvorstandes |
| § 87a | Ermittlung und Feststellung des Ergebnisses der Briefwahlbezirke; weitere Bestimmungen zur Briefwahl |
| § 88 | Benachrichtigung der gewählten Bewerber |
| § 89 | Überprüfung der Wahl durch den Leiter des Wahlbereichs Bremen und den Landeswahlleiter |
| § 89a | Einzelbewerber |
| Vierter Teil Gemeinsame Durchführung der Wahl der Bürgerschaft und eines Volksentscheides | |
| § 90 | Anwendung der Landeswahlordnung |
| § 91 | Wahlbezirke, Wahlräume, Wahlvorstände |
| § 92 | Wählerverzeichnis |
| § 93 | Wahlbenachrichtigung |
| § 94 | Wahlscheine |
| § 95 | Stimmzettel, Wahlurne, Briefwahl |
| § 96 | Wahlbekanntmachung |
| § 97 | Feststellungen des Urnenwahlvorstandes |
| § 97 a | Feststellungen des Wahlergebnisses im Wahlbezirk |
| § 98 | Briefwahl |
| Fünfter Teil Schlußbestimmungen | |
| § 99 | Auswahl der Wahlbezirke und wahlstatistische Auszählungen |
| § 99a | Beschränkung von Rechten der betroffenen Person nach dem Bremischen Ausführungsgesetz zur EU-Datenschutzgrundverordnung |
| § 100 | Öffentliche Bekanntmachungen |
| § 101 | Zustellungen |
| § 102 | Sicherung der Wahlunterlagen |
| § 103 | Vernichtung von Wahlunterlagen |
| § 104 | Geschäftsstelle des Wahlprüfungsgerichts |
| § 105 | Auswirkungen einer vorzeitigen Beendigung der Wahlperiode der Bürgerschaft auf die Wahl zur Stadtverordnetenversammlung |
| § 105a | Zusammentreffen mit der Wahl zum Europäischen Parlament oder der Wahl zum Deutschen Bundestag |
| § 106 | Inkrafttreten |
| Anlagen: | |
| Anlage 1 (zu §§ 18, 69 Absatz 3, 80 Absatz 3 und 92 Absatz 3) Beurkundung des Abschlusses des Wählerverzeichnisses zur Bürgerschaftswahl durch die Gemeindebehörde | |
| Anlage 2 (zu §§ 20, 71 Absatz 1, 82 Absatz 1, 94 Absatz 1) Wahlschein zur Bürgerschaftswahl | |
| Anlage 3 (zu §§ 22 Absatz 3 Nr. 2, 33 Absatz 2, 73 Absatz 2 und 4, 84 Absatz 2 und 4 und 95 Absatz 3) Stimmzettelumschlag für die Briefwahl - Vorder- und Rückseite - | |
| Anlage 4 (zu §§ 22 Absatz 3 Nr. 3, 33 Absatz 3, 73 Absatz 4, 84 Absatz 4 und 95 Absatz 3) Wahlbriefumschlag - Vorder- und Rückseite - | |
| Anlage 5 (zu §§ 22 Absatz 3 Nr. 4, 71 Absatz 2, 82 Absatz 2 und 94 Absatz 2) Merkblatt für die Briefwahl zur Bürgerschaft - Vorder- und Rückseite - | |
| Anlage 6a (zu § 28 Absatz 1) Wahlvorschlag - Bürgerschaftswahl | |
| Anlage 6b (zu §§ 72 Absatz 1 und 83 Absatz 2) Wahlvorschlag - Wahl zur Stadtverordnetenversammlung / Beiratswahl | |
| Anlage 6c (zu §§ 77a Absatz 3 und 89a Absatz 3) Wahlvorschlag - Einzelbewerber | |
| Anlage 7a (zu § 28 Absatz 3) Formblatt für eine Unterstützungsunterschrift und Bescheinigung des Wahlrechts - Bürgerschaftswahl | |
| Anlage 7b (zu §§ 72 Absatz 3, 77a Absatz 3, 83 Absatz 4 und 89a Absatz 3 in Verbindung mit § 28 Absatz 3) Formblatt für eine Unterstützungsunterschrift und Bescheinigung des Wahlrechts - Wahl zur Stadtverordnetenversammlung / Beiratswahl | |
| Anlage 8a (zu § 28 Absatz 4 Nr. 1 und Nr. 5) Zustimmungserklärung - Bürgerschaftswahl | |
| Anlage 8b (zu §§ 72 Absatz 4 und 83 Absatz 5 in Verbindung mit § 28 Absatz 4 Nr. 1 und 5) Zustimmungserklärung - Wahl zur Stadtverordnetenversammlung / Beiratswahl | |
| Anlage 9a (zu § 28 Absatz 4 Nr. 2) Bescheinigung der Wählbarkeit - Bürgerschaftswahl | |
| Anlage 9b (zu §§ 72 Absatz 4, 77a, 83 Absatz 5 und 89a in Verbindung mit § 28 Absatz 4 Nr. 2) Bescheinigung der Wählbarkeit - Wahl zur Stadtverordnetenversammlung / Beiratswahl | |
| Anlage 10a (zu § 28 Absatz 4 Nr. 3) Niederschrift über die Mitglieder-/Vertreterversammlung zur Aufstellung der Bewerber - Bürgerschaftswahl | |
| Anlage 10b (zu §§ 72 Absatz 4 und 83 Absatz 5 in Verbindung mit § 28 Absatz 4 Nr. 3) Niederschrift über die Mitglieder-/Vertreterversammlung zur Aufstellung der Bewerber - Wahl zur Stadtverordnetenversammlung / Beiratswahl | |
| Anlage 11a (zu § 28 Absatz 4 Nr. 3) Versicherung an Eides statt - Bürgerschaftswahl | |
| Anlage 11b (zu §§ 72 Absatz 4 und 83 Absatz 5 in Verbindung mit § 28 Absatz 4 Nr. 3) Versicherung an Eides statt - Wahl zur Stadtverordnetenversammlung / Beiratswahl | |
| Anlage 12 (zu § 30 Absatz 6) Niederschrift über die Zulassung der Wahlvorschläge | |
| Anlage 13 (zu § 54b Absatz 6) Zählliste | |
| Anlage 14 (zu § 57a Absatz 6) Schnellmeldung | |
| Anlage 15 (entfallen) | |
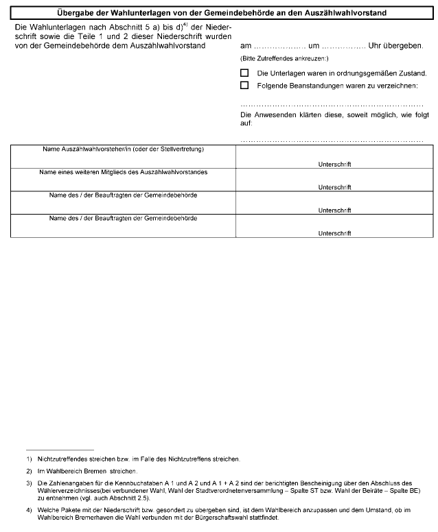
| Anlage 16a (zu § 58 Absatz 1 und 2) Bürgerschaftswahl - Niederschrift über die Wahlhandlung im Wahlbezirk, über die Übergabe der Wahlunterlagen und über die Ermittlung und Feststellung des Ergebnisses im Wahlbezirk (Teil 1 bis 3 der Niederschrift) | |
| Anlage 16b (zu § 58 Absatz 1 und 2) Bürgerschaftswahl - Niederschrift über die Zulassung der Wahlbriefe im Wahlbezirk, über die Übergabe der Wahlunterlagen und über die Ermittlung und Feststellung des Ergebnisses im Wahlbezirk (Teil 1 bis 3 der Niederschrift) | |
| Anlage 16c (zu § 58 Absatz 1 und 2) Bürgerschaftswahl - Niederschrift über die Ermittlung und Feststellung des Ergebnisses im Wahlbezirk - Anlage: Ergebnis im Wahlbezirk und Stimmzettelprüfliste | |
| Anlage 17a (zu §§ 75 Absatz 3, 75a Absatz 2 und 86 Absatz 3, 86a Absatz 2 in Verbindung mit § 58 Absatz 1 und 2) Wahl der Stadtverordnetenversammlung/Beiräte - Niederschrift über die Wahlhandlung im Wahlbezirk, über die Übergabe der Wahlunterlagen und über die Ermittlung und Feststellung des Ergebnisses im Wahlbezirk (Teil 1 bis 3 der Niederschrift) | |
| Anlage 17b (zu §§ 75b Absatz 2, 75c, 87 Absatz 2 und 87a Nummer 4 in Verbindung mit § 58 Absatz 1 und 2) Wahl der Stadtverordnetenversammlung/Beiräte - Niederschrift über die Zulassung der Wahlbriefe im Wahlbezirk, über die Übergabe der Wahlunterlagen und über die Ermittlung und Feststellung des Ergebnisses im Wahlbezirk (Teil 1 bis 3 der Niederschrift) | |
| Anlage 17c (zu §§ 75a Absatz 2, 75c, 86a Absatz 2 und 87a in Verbindung mit § 58 Absatz 1 und 2) Wahl der Stadtverordnetenversammlung/Beiräte - Niederschrift über die Ermittlung und Feststellung des Ergebnisses im Wahlbezirk - Anlage: Ergebnis im Wahlbezirk und Stimmzettelprüfliste | |
| Anlage 18 (zu §§ 60 Absatz 1 und 4, 61 Absatz 1 und 4) Zusammenstellung der endgültigen Ergebnisse der Wahl zur Bremischen Bürgerschaft | |
| Anlage 19a (zu § 58 Absatz 1 und 2) Bürgerschaftswahl (Unionsbürger) - Ergänzung zur Niederschrift über die Wahlhandlung im Wahlbezirk und über die Übergabe der Wahlunterlagen (Teil 1 und 2 der Niederschrift) | |
| Anlage 19b (zu § 58 Absatz 1 und 2) Bürgerschaftswahl (Unionsbürger) - Ergänzung zur Niederschrift über die Zulassung der Wahlbriefe im Wahlbezirk und über die Übergabe der Wahlunterlagen (Teil 1 und 2 der Niederschrift) | |
| Anlage 19c (zu §§ 56 Absatz 2 und 4, 58 Absatz 6) Bürgerschaftswahl (Unionsbürger) - Niederschrift über die Ermittlung und Feststellung des Ergebnisses der Unionsbürger im Wahlbereich Bremen (Teil 3 der Niederschrift) | |
| Anlage 20 (zu § 60 Absatz 4) Niederschrift über die 2. Sitzung des Wahlbereichsausschusses für den Wahlbereich Bremen/Bremerhaven zur Ermittlung und Feststellung des Ergebnisses der Wahl zur Bremischen Bürgerschaft | |
| Anlage 21 (zu § 13 Absatz 1, § 70 Absatz 1, § 81 Absatz 1, § 93 Absatz 1) Wahlbenachrichtigung zur Bürgerschaftswahl | |
| Anlage 22 (zu § 14, § 67 Absatz 1, § 78 Absatz 1, § 90 Absatz 1) Öffentliche Bekanntmachung über das Recht auf Einsicht in das Wählerverzeichnis und die Erteilung von Wahlscheinen | |
| Anlage 23 (zu § 36 Absatz 1, § 67 Absatz 1, § 78 Absatz 1, § 90 Absatz 1) Wahlbekanntmachung der Gemeindebehörde | |
| Anlage 24 (zu § 33 Absatz 1e und 1f, § 67 Absatz 1, § 78 Absatz 1, § 90 Absatz 1) Erläuterung der unterschiedlichen Möglichkeiten der Stimmabgabe | |
Aufgrund des § 58 des Bremischen Wahlgesetzes in der Fassung der Bekanntmachung vom 23. Mai 1990 (Brem.GBl. S. 00) wird verordnet:
(1) Die Gebiete der beiden Wahlbereiche sind in Wahlbezirke aufzuteilen. Die Gemeindebehörde bestimmt, welche Wahlbezirke zu bilden sind.
(2) Die Zahl der Wahlberechtigten eines Wahlbezirks darf nicht so gering sein, daß erkennbar wird, wie einzelne Wahlberechtigte gewählt haben. Sie soll mindestens 50 und nicht mehr als 2 000 betragen.
(3) Bei der Abgrenzung der Wahlbezirke sind die festgelegten Grenzen von gemeindlichen Verwaltungsbezirken einzuhalten; Absatz 2 Satz 1 bleibt unberührt.
(4) Die Wahlberechtigten in Gemeinschaftsunterkünften wie Lagern, Unterkünften der Bundeswehr, des Bundesgrenzschutzes oder der Polizei sollen nach festen Abgrenzungsmerkmalen auf mehrere Wahlbezirke verteilt werden.
(1) Für Krankenhäuser, Altenheime, Altenwohnheime, Pflegeheime, Erholungsheime und gleichartige Einrichtungen mit einer größeren Anzahl von Wahlberechtigten, die keinen Wahlraum außerhalb der Einrichtung aufsuchen können, soll die Gemeindebehörde bei entsprechendem Bedürfnis Sonderwahlbezirke zur Stimmabgabe für Wahlscheininhaber bilden.
(2) Mehrere Einrichtungen können zu einem Sonderwahlbezirk zusammengefaßt werden.
(3) Wird ein Sonderwahlbezirk nicht gebildet, gilt § 6a Absatz 4 entsprechend.
(1) Der Landeswahlleiter und die Wahlbereichsleiter berufen alsbald nach der Bestimmung des Wahltages die Beisitzer der Wahlausschüsse und für jeden Beisitzer einen Stellvertreter. Die Beisitzer des Landeswahlausschusses und der Wahlbereichsausschüsse sind aus den Wahlberechtigten des jeweiligen Gebietes zu berufen.
(2) Bei der Auswahl der Beisitzer der Wahlausschüsse sollen in der Regel die Parteien und Wählervereinigungen in der Reihenfolge der bei der letzten Wahl zur Bürgerschaft in dem jeweiligen Gebiet errungenen Stimmenzahlen angemessen berücksichtigt und die von ihnen rechtzeitig vorgeschlagenen Wahlberechtigten berufen werden.
(3) Die Wahlausschüsse bestehen auch nach der Wahl, längstens bis zum Ablauf der Wahlperiode, fort.
(1) Die Wahlausschüsse sind ohne Rücksicht auf die Zahl der erschienenen Beisitzer beschlußfähig.
(2) Der Vorsitzende bestimmt Ort und Zeit der Sitzungen. Er lädt die Beisitzer zu den Sitzungen und weist dabei darauf hin, daß der Ausschuß ohne Rücksicht auf die Zahl der erschienenen Beisitzer beschlußfähig ist.
(3) Zeit, Ort und Gegenstand der Verhandlungen sind öffentlich bekanntzumachen.
(4) Der Vorsitzende bestellt einen Schriftführer; dieser ist nur stimmberechtigt, wenn er zugleich Beisitzer ist.
(5) Der Vorsitzende weist die Beisitzer und den Schriftführer auf ihre Verpflichtung zur unparteiischen Wahrnehmung ihres Amtes und zur Verschwiegenheit über die ihnen bei ihrer amtlichen Tätigkeit bekanntgewordenen Angelegenheiten hin.
(6) Der Vorsitzende ist befugt, Personen, die die Ruhe und Ordnung stören, aus dem Sitzungsraum zu verweisen.
(7) Über jede Sitzung ist vom Schriftführer eine Niederschrift zu fertigen; sie ist vom Vorsitzenden, von den Beisitzern und vom Schriftführer zu unterzeichnen.
(1) Die Gemeindebehörde beruft für jeden Wahlvorstand aus den Wahlberechtigten des Wahlbereichs einen Wahlvorsteher, seinen Stellvertreter und weitere Beisitzer.
(2) Der Wahlvorsteher und sein Stellvertreter werden von der Gemeindebehörde vor Beginn ihrer Tätigkeit auf ihre Verpflichtung zur unparteiischen Wahrnehmung ihres Amtes und zur Verschwiegenheit über die ihnen bei ihrer amtlichen Tätigkeit bekanntgewordenen Angelegenheiten hingewiesen. Die Mitglieder des Wahlvorstandes dürfen während ihrer Tätigkeit kein auf eine politische Überzeugung hinweisendes Zeichen sichtbar tragen.
(3) Der Wahlvorsteher bestellt aus den Beisitzern den Schriftführer und dessen Stellvertreter.
(4) Die Gemeindebehörde hat die Mitglieder des Wahlvorstandes vor der Wahl so über ihre Aufgaben zu unterrichten, daß ein ordnungsmäßiger Ablauf der Wahlhandlung sowie der Ermittlung und Feststellung des Wahlergebnisses gesichert ist.
(5) Der Wahlvorsteher leitet die Tätigkeit des Wahlvorstandes.
(7) Fehlende Beisitzer sind vom Wahlvorsteher durch Wahlberechtigte zu ersetzen, wenn es mit Rücksicht auf die Beschlußfähigkeit des Wahlvorstandes erforderlich ist. Sie sind vom Wahlvorsteher nach Absatz 2 auf ihre Verpflichtung hinzuweisen.
(8) Bei Bedarf stellt die Gemeindebehörde dem Wahlvorstand die erforderlichen Hilfskräfte zur Verfügung.
(9) Während der Tätigkeit des Wahlvorstandes müssen mindestens drei Mitglieder, darunter der Wahlvorsteher und der Schriftführer oder ihre Stellvertreter anwesend sein, soweit nachfolgend nichts Abweichendes geregelt ist.
(1) Der Urnenwahlvorstand hat drei bis acht Beisitzer und wird von der Gemeindebehörde oder in ihrem Auftrag vom Wahlvorsteher einberufen. Er tritt am Wahltage rechtzeitig vor Beginn der Wahlzeit im Wahlraum zusammen.
(2) Der Urnenwahlvorstand sorgt für die ordnungsmäßige Durchführung der Wahl.
(3) Der Urnenwahlvorstand ist beschlussfähig während der Wahlhandlung, wenn mindestens drei Mitglieder, bei der Zählung der Wähler nach § 51 Absatz 2, wenn mindestens fünf Mitglieder, darunter jeweils der Wahlvorsteher und der Schriftführer oder ihre Stellvertreter, anwesend sind. Bei der Zählung der Wähler sollen alle Mitglieder des Urnenwahlvorstandes anwesend sein.
(4) Für die Stimmabgabe in kleineren Krankenhäusern, kleineren Alten- oder Pflegeheimen, sozialtherapeutischen Anstalten und Justizvollzugsanstalten sollen bei entsprechendem Bedürfnis und soweit möglich bewegliche Wahlvorstände gebildet werden. Der bewegliche Wahlvorstand besteht aus dem Urnenwahlvorsteher des zuständigen Wahlbezirks oder seinem Stellvertreter und zwei Beisitzern des Urnenwahlvorstandes. Die Gemeindebehörde kann auch den beweglichen Wahlvorstand eines anderen Wahlbezirks mit der Entgegennahme der Stimmzettel beauftragen.
Für die Briefwahlvorsteher und Briefwahlvorstände gilt § 6 mit folgenden Maßgaben:
Bei der Bildung mehrerer Briefwahlvorstände nach § 10 Absatz 3 Bremischen Wahlgesetzes darf die Zahl der auf einen Briefwahlvorstand entfallenden Wahlbriefe nicht so gering sein, daß erkennbar wird, wie einzelne Wahlberechtigte gewählt haben; auf einen Briefwahlvorstand sollen mindestens 50 Wahlbriefe entfallen.
Die Gemeindebehörde macht Ort und Zeit des Zusammentritts der Briefwahlvorstände öffentlich bekannt und beruft sie ein.
Der Briefwahlvorstand hat zwei bis acht Beisitzer. Er ist beschlussfähig bei der Zulassung oder Zurückweisung der Wahlbriefe nach § 55a Absatz 2 und 3 und bei der Zählung der Wähler nach § 55a Absatz 4, wenn mindestens vier Mitglieder, darunter jeweils der Wahlvorsteher und der Schriftführer oder ihre Stellvertreter, anwesend sind. Bei der Zählung der Wähler sollen alle Mitglieder des Briefwahlvorstandes anwesend sein.
(1) Der Auszählwahlvorstand hat zwei bis zwölf Beisitzer und wird von der Gemeindebehörde einberufen. Er tritt rechtzeitig vor Beginn der Auszählung im Auszählraum zusammen.
(2) Die Gemeindebehörde macht Ort und Zeit des Zusammentritts der Auszählwahlvorstände öffentlich bekannt.
(3) Bei der Ermittlung und Feststellung des Wahlergebnisses sollen alle Mitglieder des Auszählwahlvorstandes anwesend sein. Die Mindestzahl von vier Mitgliedern des Wahlvorstandes, darunter der Wahlvorsteher und der Schriftführer oder ihre Stellvertreter, darf zu keinem Zeitpunkt des Auszählvorganges unterschritten werden; dies gilt nicht für kurze Unterbrechungen, in denen der Auszählvorgang ruht. Der Auszählwahlvorstand ist unter den Voraussetzungen von Satz 2 Halbsatz 1 beschlussfähig.
(4) Im Wahlbereich Bremen beruft die Gemeindebehörde zusätzlich einen besonderen Auszählwahlvorstand zur Ermittlung und Feststellung des Wahlergebnisses der Unionsbürger (§ 30 Absatz 2a Satz 2 des Bremischen Wahlgesetzes); diesem Auszählwahlvorstand können auch Unionsbürger angehören.
Die Übernahme eines Wahlehrenamtes können ablehnen
Mitglieder der Bundesregierung oder des Senats,
Mitglieder des Europäischen Parlaments, des Deutschen Bundestages, der Bremischen Bürgerschaft, der Stadtverordnetenversammlung der Stadt Bremerhaven oder der Beiräte im Gebiet der Stadt Bremen,
Wahlberechtigte, die am Wahltage das 65. Lebensjahr vollendet haben,
Wahlberechtigte, die glaubhaft machen, daß ihnen die Fürsorge für ihre Familie die Ausübung des Amtes in besonderem Maße erschwert,
Wahlberechtigte, die glaubhaft machen, daß sie aus dringenden beruflichen Gründen oder durch Krankheit oder Behinderung oder aus einem sonstigen wichtigen Grunde gehindert sind, das Amt ordnungsmäßig auszuüben.
(1) Die ehrenamtlichen Mitglieder der Wahlausschüsse erhalten für die Teilnahme an einer nach § 5 einberufenen Sitzung eine pauschale Aufwandsentschädigung von je 35 Euro für den Vorsitzenden und je 25 Euro für die übrigen Mitglieder.
(2) Die Mitglieder der Wahlvorstände erhalten für ihre Tätigkeit eine pauschale Aufwandsentschädigung von maximal 120 Euro pro Tag. Das Nähere bestimmen die Gemeindebehörden. Sie sollen eine Differenzierung je nach Verantwortung und Aufwand der einzelnen Mitglieder vorsehen.
(1) Die Gemeindebehörde legt vor jeder Wahl für jeden allgemeinen Wahlbezirk (§ 1) ein Verzeichnis der Wahlberechtigten nach § 15 Abs. 1 Satz 1 Bremischen Wahlgesetzes an.
(2) Das Wählerverzeichnis ist unter fortlaufender Nummer der Wahlberechtigten nach Straßen und Hausnummern zu gliedern. Es enthält je eine Spalte für Vermerke über die Stimmabgabe und für Bemerkungen.
(3) Die Gemeindebehörde sorgt dafür, daß die Unterlagen für die Wählerverzeichnisse jederzeit so vollständig vorhanden sind, daß diese vor Wahlen rechtzeitig angelegt werden können.
(1) Von Amts wegen sind in das Wählerverzeichnis alle Wahlberechtigten einzutragen, die am 42. Tage vor der Wahl (Stichtag) bei der Meldebehörde gemeldet sind
für eine Wohnung, bei mehreren Wohnungen für ihre Hauptwohnung,
für ein Seeschiff unter den Voraussetzungen des § 1 Absatz 3 Nummer 1 Bremischen Wahlgesetzes,
für ein Binnenschiff unter den Voraussetzungen des § 1 Absatz 3 Nummer 2 Bremischen Wahlgesetzes,
für eine Justizvollzugsanstalt oder die entsprechende Einrichtung (§ 1 Abs. 3 Nr. 3 Bremischen Wahlgesetzes).
(2) Auf Antrag sind in das Wählerverzeichnis die Wahlberechtigten einzutragen, die sich im Gebiet der Freien Hansestadt Bremen sonst gewöhnlich aufhalten und in der Bundesrepublik Deutschland für eine Wohnung nicht gemeldet sind oder die sich in einer Justizvollzugsanstalt oder entsprechenden Einrichtung befinden und nicht nach Absatz 1 Nummer 4 von Amts wegen in das Wählerverzeichnis einzutragen sind.
(3) Der Antrag auf Eintragung in das Wählerverzeichnis ist schriftlich bis spätestens zum 21. Tage vor der Wahl bei der Gemeindebehörde zu stellen. Er muß Familiennamen, Vornamen, Geburtsdatum und die genaue Anschrift des Wahlberechtigten enthalten. Ein Wahlberechtigter mit Behinderungen kann sich hierbei der Hilfe einer anderen Person bedienen; § 45 gilt entsprechend.
(4) Zuständig für die Eintragung in das Wählerverzeichnis ist in den Fällen des
Absatzes 1 Nr. 1 die für die Wohnung, bei mehreren Wohnungen die für die Hauptwohnung zuständige Gemeinde,"
Absatzes 1 Nr. 2 die für den Sitz des Reeders zuständige Gemeinde,
Absatzes 1 Nr. 3 die für den Heimatort des Binnenschiffes zuständige Gemeinde,
Absatzes 1 Nr. 4 die für die Justizvollzugsanstalt oder die entsprechende Einrichtung zuständige Gemeinde,
Absatzes 2 die Gemeinde, in der der Wahlberechtigte seinen Antrag stellt.
(5) Verlegt ein Wahlberechtigter, der nach Absatz 1 in das Wählerverzeichnis eingetragen ist, seine Wohnung in einen anderen Wahlbereich und meldet er sich vor Beginn der Einsichtsfrist für das Wählerverzeichnis (§ 15 Absatz 1 Satz 4 Bremischen Wahlgesetzes) bei der Meldebehörde des neuen Wahlbereichs an, so wird er nur auf Antrag in das Wählerverzeichnis des neuen Wahlbereichs eingetragen; dasselbe gilt, wenn er in einem anderen Wahlbereich eine weitere Wohnung bezieht, die seine Hauptwohnung wird. Ein nach Absatz 1 in das Wählerverzeichnis eingetragener Wahlberechtigter, der sich innerhalb desselben Wahlbereichs für eine Wohnung anmeldet, bleibt in dem Wählerverzeichnis des Wahlbezirks eingetragen, für den er am Stichtag gemeldet war. Der Wahlberechtigte ist bei der Anmeldung über die Regelung in den Sätzen 1 und 2 zu belehren und gegebenenfalls auf die Möglichkeit der Beantragung eines Wahlscheines hinzuweisen. Erfolgt die Eintragung nach Satz 1, benachrichtigt die Gemeindebehörde des neuen Wahlbereichs hiervon unverzüglich die Gemeindebehörde des anderen Wahlbereichs, die den Wahlberechtigten in ihrem Wählerverzeichnis streicht. Wenn bei der Gemeindebehörde des anderen Wahlbereichs eine Mitteilung über den Ausschluß vom Wahlrecht vorliegt oder nachträglich eingeht, benachrichtigt sie hiervon unverzüglich die Gemeindebehörde des neuen Wahlbereichs, die den Wahlberechtigten in ihrem Wählerverzeichnis streicht; der Betroffene ist von der Streichung zu unterrichten.
(5a) Für Wahlberechtigte, die am Stichtag nicht für eine Wohnung gemeldet sind und sich vor dem Beginn der Einsichtsfrist für das Wählerverzeichnis bei der Meldebehörde für eine Wohnung anmelden, gilt Absatz 5 Satz 1 und 3 entsprechend.
(5b) Welche von mehreren Wohnungen eines Wahlberechtigten seine Hauptwohnung ist, bestimmt sich nach den Vorschriften des Melderechts.
(5c) Die Gemeindebehörde hat spätestens am Stichtag den Leiter der sich in ihrem Gemeindebezirk befindenden Justizvollzugsanstalt oder der entsprechenden Einrichtung auf Absatz 2 und die Notwendigkeit der Unterrichtung der betroffenen Personen hinzuweisen, wenn nach dem Meldegesetz eine Meldepflicht für die sich in den Einrichtungen aufhaltenden Personen nicht besteht.
(5d) In den Fällen des Absatzes 2 sind Wahlberechtigte bis zum Wahltage im Wählerverzeichnis der Gemeinde zu führen, die nach Absatz 4 Nummer 5 zuständig ist, auch wenn nach dem Stichtag eine Neuanmeldung bei einer anderen Meldebehörde des Wahlgebietes erfolgt. Sie sind bei der Anmeldung entsprechend zu unterrichten.
(6) Bevor eine Person in das Wählerverzeichnis eingetragen wird, ist zu prüfen, ob sie die Wahlrechtsvoraussetzungen des § 1 Bremischen Wahlgesetzes erfüllt und ob sie nicht nach § 2 Bremischen Wahlgesetzes vom Wahlrecht ausgeschlossen ist. Erfolgt die Eintragung in das Wählerverzeichnis nur auf Antrag, ist außerdem zu prüfen, ob ein frist- und formgerechter Antrag gestellt ist.
(7) Gibt die Gemeindebehörde einem Eintragungsantrag nicht statt oder streicht sie eine in das Wählerverzeichnis eingetragene Person, hat sie den Betroffenen unverzüglich zu unterrichten. Gegen die Entscheidung kann der Betroffene Einspruch einlegen; er ist auf diese Möglichkeit hinzuweisen. § 16 Abs. 2, 4 und 5 gilt entsprechend. Die Frist für die Zustellung der Entscheidung (§ 16 Abs. 4 Satz 1) und für die Beschwerdeentscheidung (§ 16 Abs. 5 Satz 4) gilt nur, wenn der Einspruch vor dem 12. Tage vor der Wahl eingelegt worden ist.
(1) Spätestens am Tage vor der Bereithaltung des Wählerverzeichnisses zur Einsichtnahme benachrichtigt die Gemeindebehörde schriftlich jeden Wahlberechtigten, der in das Wählerverzeichnis eingetragen ist. Die Wahlbenachrichtigung erfolgt in Leichter Sprache nach dem Muster der Anlage 21. Erfolgt die Eintragung eines Wahlberechtigten, der nach § 12 Absatz 5 oder 5a auf Antrag in das Wählerverzeichnis eingetragen wird, nach der Versendung der Benachrichtigungen gemäß Satz 1, hat dessen Benachrichtigung unverzüglich nach der Eintragung zu erfolgen.
(3) Auf Wahlberechtigte, die nach § 12 Abs. 2 nur auf Antrag in das Wählerverzeichnis eingetragen werden und bereits einen Wahlschein und Briefwahlunterlagen beantragt haben, findet Absatz 1 keine Anwendung.
(4) Stellt der Landeswahlleiter fest, dass die fristgemäße Benachrichtigung nach Absatz 1 infolge von Naturkatastrophen oder ähnlichen Ereignissen höherer Gewalt gestört ist, bestimmt er, dass sie in dem betroffenen Gebiet später erfolgen kann. Wenn zu besorgen ist, dass die Benachrichtigung nach Absatz 1 nicht bis zum sechsten Tag vor der Wahl erfolgen kann, bestimmt er, dass die Wahlberechtigten in anderer geeigneter Weise über die Angaben nach Absatz 1 Satz 2 Nummer 2 und 4 bis 6 zu benachrichtigen sind. Der Landeswahlleiter kann hierzu im Einzelfall ergänzende Regelungen zur Anpassung an die besonderen Verhältnisse treffen. Er macht die Gründe für die Störung, das betroffene Gebiet, die von ihm für den Einzelfall getroffenen Regelungen und die Art der Benachrichtigung in geeigneter Weise bekannt.
Die Gemeindebehörde macht spätestens am 24. Tage vor der Wahl eine öffentliche Bekanntmachung in Leichter Sprache nach dem Muster der Anlage 22 über das Recht auf Einsicht in das Wählerverzeichnis und die Erteilung von Wahlscheinen.
(1) Die Gemeindebehörde hält das Wählerverzeichnis während der allgemeinen Öffnungszeiten zur Einsichtnahme bereit. Wird das Wählerverzeichnis im automatisierten Verfahren geführt, kann die Einsichtnahme durch ein Datensichtgerät ermöglicht werden. Es ist sicherzustellen, dass Bemerkungen (§ 17 Absatz 3) im Klartext gelesen werden können. Das Datensichtgerät darf nur von einem Bediensteten der Gemeindebehörde bedient werden.
(2) Innerhalb der Einsichtsfrist ist das Anfertigen von Auszügen aus dem Wählerverzeichnis durch Wahlberechtigte zulässig, soweit dies im Zusammenhang mit der Prüfung des Wahlrechts einzelner bestimmter Personen steht. Die Auszüge dürfen nur für diesen Zweck verwendet und unbeteiligten Dritten nicht zugänglich gemacht werden.
(1) Wer das Wählerverzeichnis für unrichtig oder unvollständig hält, kann innerhalb der Einsichtsfrist Einspruch einlegen.
(2) Der Einspruch ist schriftlich oder zur Niederschrift bei der Gemeindebehörde einzulegen. Soweit die behaupteten Tatsachen nicht offenkundig sind, hat der Einspruchsführer die erforderlichen Beweismittel beizubringen. Ein Wahlberechtigter mit Behinderungen kann sich hierbei der Hilfe einer anderen Person bedienen; § 45 gilt entsprechend.
(3) Will die Gemeindebehörde einem Einspruch gegen die Eintragung eines anderen stattgeben, so hat sie diesem vor der Entscheidung Gelegenheit zur Äußerung zu geben.
(4) Die Gemeindebehörde hat ihre Entscheidung dem Einspruchsführer und dem Betroffenen spätestens am 10. Tage vor der Wahl zuzustellen und auf den zulässigen Rechtsbehelf hinzuweisen. Einem auf Eintragung gerichteten Einspruch gibt die Gemeindebehörde in der Weise statt, daß sie dem Wahlberechtigten nach Berichtigung des Wählerverzeichnisses die Wahlbenachrichtigung zugehen läßt.
(5) Gegen die Entscheidung der Gemeindebehörde kann binnen zwei Tagen nach Zustellung Beschwerde an den Wahlbereichsleiter eingelegt werden. Die Beschwerde ist schriftlich oder zur Niederschrift bei der Gemeindebehörde einzulegen. Die Gemeindebehörde legt die Beschwerde mit den Vorgängen unverzüglich dem Wahlbereichsleiter vor. Der Wahlbereichsleiter hat über die Beschwerde spätestens am 4. Tage vor der Wahl zu entscheiden; Absatz 3 gilt entsprechend. Die Beschwerdeentscheidung ist den Beteiligten und der Gemeindebehörde bekanntzugeben. Sie ist vorbehaltlich anderer Entscheidung im Wahlprüfungsverfahren endgültig.
(1) Nach Beginn der Einsichtsfrist ist die Eintragung oder Streichung von Personen sowie die Vornahme sonstiger Änderungen im Wählerverzeichnis nur noch auf rechtzeitigen Einspruch zulässig. § 12 Absatz 2, 5 und 5a sowie § 24 bleiben unberührt.
(2) Ist das Wählerverzeichnis offensichtlich unrichtig oder unvollständig, so kann die Gemeindebehörde den Mangel auch von Amts wegen beheben. Dies gilt nicht für Mängel, die Gegenstand eines Einspruchsverfahrens sind. § 16 Abs. 3 bis 5 gilt entsprechend. Die Frist für die Zustellung der Entscheidung (§ 16 Abs. 4 Satz 1) und für die Beschwerdeentscheidung (§ 16 Abs. 5 Satz 4) gilt nur, wenn die von Amts wegen behebbaren Mängel vor dem 12. Tage vor der Wahl bekannt werden.
(3) Alle vom Beginn der Einsichtsfrist ab vorgenommenen Änderungen sind in der Spalte "Bemerkungen" zu erläutern und mit Datum und Unterschrift des vollziehenden Bediensteten, im automatisierten Verfahren an Stelle der Unterschrift mit einem Hinweis auf den verantwortlichen Bediensteten zu versehen.
(4) Nach Abschluß des Wählerverzeichnisses können Änderungen mit Ausnahme der in Absatz 2 und in § 41 Abs. 2 vorgesehenen Berichtigungen nicht mehr vorgenommen werden.
Das Wählerverzeichnis ist spätestens am Tage vor der Wahl, jedoch nicht früher als am 3. Tage vor der Wahl, durch die Gemeindebehörde abzuschließen. Sie stellt dabei die Zahl der Wahlberechtigten des Wahlbezirks fest. Der Abschluß wird nach dem Muster der Anlage 1 beurkundet. Bei automatisierter Führung des Wählerverzeichnisses erfolgt die Beurkundung auf dem Ausdruck.
(1) Ein Wahlberechtigter, der in das Wählerverzeichnis eingetragen ist, erhält auf Antrag einen Wahlschein.
(2) Ein Wahlberechtigter, der nicht in das Wählerverzeichnis eingetragen ist, erhält auf Antrag einen Wahlschein,
wenn er nachweist, daß er ohne sein Verschulden die Antragsfrist nach § 12 Abs. 3 oder die Einspruchsfrist nach § 16 Abs. 1 versäumt hat,
wenn sein Recht auf Teilnahme an der Wahl erst nach Ablauf der Fristen nach § 12 Abs. 3 oder § 16 Abs. 1 entstanden ist,
wenn sein Wahlrecht im Einspruchsverfahren festgestellt worden und die Feststellung erst nach Abschluß des Wählerverzeichnisses zur Kenntnis der Gemeindebehörde gelangt ist.
(3) Der Wahlschein berechtigt zur Teilnahme an der Wahl durch Briefwahl oder zur persönlichen Stimmabgabe in dem Wahlbezirk, für den der Wahlschein erteilt ist.
Der Wahlschein wird nach dem Muster der Anlage 2 von der Gemeindebehörde erteilt, in deren Wählerverzeichnis der Wahlberechtigte eingetragen ist oder hätte eingetragen werden müssen.
(1) Die Erteilung eines Wahlscheines kann schriftlich oder mündlich bei der Gemeindebehörde beantragt werden. Die Schriftform gilt auch durch Telegramm, Telefax, E-Mail oder durch sonstige dokumentierbare elektronische Übermittlung als gewahrt. Eine fernmündliche Antragstellung ist unzulässig. Ein Wahlberechtigter mit Behinderungen kann sich bei der Antragstellung der Hilfe einer anderen Person bedienen; § 45 gilt entsprechend.
(2) Der Antragsteller muss Familiennamen, Vornamen, Geburtsdatum und seine Wohnanschrift (Straße, Hausnummer, Postleitzahl, Ort) angeben.
(3) Wer den Antrag für einen anderen stellt, muß durch Vorlage einer schriftlichen Vollmacht nachweisen, daß er dazu berechtigt ist.
(4) Wahlscheine können bis zum zweiten Tage vor der Wahl, 18.00 Uhr, beantragt werden. In den Fällen des § 19 Abs. 2 können Wahlscheine noch bis zum Wahltage, 15.00 Uhr, beantragt werden. Gleiches gilt, wenn bei nachgewiesener plötzlicher Erkrankung der Wahlraum nicht oder nur unter nicht zumutbaren Schwierigkeiten aufgesucht werden kann; in diesem Fall hat die Gemeindebehörde vor Erteilung des Wahlscheines den für den Wahlbezirk des Wahlberechtigten zuständigen Wahlvorsteher davon zu unterrichten, der entsprechend § 41 Abs. 2 zu verfahren hat.
(5) Bei Wahlberechtigten, die nach § 12 Abs. 2 nur auf Antrag in das Wählerverzeichnis eingetragen werden, gilt der Antrag zugleich als Antrag auf Erteilung eines Wahlscheines, es sei denn, der Wahlberechtigte will vor dem Wahlvorstand seines Wahlbezirks wählen.
(6) Verspätet eingegangene schriftliche Anträge sind unbearbeitet mit den dazugehörigen Briefumschlägen zu verpacken und vorläufig aufzubewahren.
(1) Wahlscheine dürfen nicht vor Zulassung der Wahlvorschläge durch den Wahlbereichsausschuß nach § 23 Bremischen Wahlgesetzes erteilt werden.
(2) Der Wahlschein muß von dem mit der Erteilung beauftragten Bediensteten eigenhändig unterschrieben werden und mit dem Dienstsiegel versehen sein. Das Dienstsiegel kann eingedruckt werden. Wird der Wahlschein mit Hilfe automatischer Einrichtungen erstellt, kann abweichend von Satz 1 die Unterschrift fehlen; stattdessen kann der Name des beauftragten Bediensteten eingedruckt werden.
(3) Dem Wahlschein sind beizufügen
ein amtlicher Stimmzettel des Wahlbereichs,
ein amtlicher Stimmzettelumschlag nach dem Muster der Anlage 3,
ein amtlicher Wahlbriefumschlag nach dem Muster der Anlage 4, auf dem die vollständige Anschrift, wohin der Wahlbrief zu übersenden ist, sowie die Bezeichnung der Gemeindebehörde, die den Wahlschein ausgestellt hat (Ausgabestelle), und der Wahlbezirk angegeben sind, und
ein Merkblatt zur Briefwahl nach dem Muster der Anlage 5.
(3a) Wahlschein und Briefwahlunterlagen werden dem Wahlberechtigten an seine Wohnanschrift übersandt oder amtlich überbracht, soweit sich aus dem Antrag keine andere Anschrift oder die Abholung der Unterlagen ergibt. Wenn der Wahlschein und die Briefwahlunterlagen auf Wunsch des Wahlberechtigten an eine andere als seine Wohnanschrift versandt werden, schickt die Gemeindebehörde parallel eine schriftliche Mitteilung an die Wohnanschrift des Wahlberechtigten.
(3b) Postsendungen sind von der Gemeindebehörde freizumachen. Die Gemeindebehörde übersendet dem Wahlberechtigten Wahlschein und Briefwahlunterlagen mit Luftpost, wenn sich aus seinem Antrag ergibt, dass er aus einem außereuropäischen Gebiet wählen will oder wenn dieses sonst geboten erscheint.
(4) An einen anderen als den Wahlberechtigten persönlich dürfen Wahlschein und Briefwahlunterlagen nur ausgehändigt werden, wenn die Berechtigung zur Empfangnahme durch Vorlage einer schriftlichen Vollmacht nachgewiesen wird. § 21 Absatz 1 Satz 4 gilt entsprechend. Von der Vollmacht kann nur Gebrauch gemacht werden, wenn die bevollmächtigte Person nicht mehr als vier Wahlberechtigte vertritt; dies hat sie der Gemeindebehörde vor der Empfangnahme der Unterlagen schriftlich zu versichern. Auf Verlangen hat sich die bevollmächtigte Person auszuweisen.
(5) Holt der Wahlberechtigte persönlich den Wahlschein und die Briefwahlunterlagen bei der Gemeindebehörde ab, so soll ihm Gelegenheit gegeben werden, die Briefwahl an Ort und Stelle auszuüben. Es ist sicherzustellen, daß der Stimmzettel unbeobachtet gekennzeichnet und in den Stimmzettelumschlag gelegt werden kann.
(6) Über die erteilten Wahlscheine führt die Gemeindebehörde ein Wahlscheinverzeichnis, in dem die Fälle des § 19 Abs. 1 und die des Absatzes 2 getrennt gehalten werden. Das Verzeichnis wird als Liste oder als Sammlung der Durchschriften der Wahlscheine geführt. Auf dem Wahlschein wird die Nummer eingetragen, unter der er im Wahlscheinverzeichnis vermerkt ist, sowie die Nummer, unter der der Wahlberechtigte im Wählerverzeichnis geführt wird, oder der vorgesehene Wahlbezirk. Bei nicht in das Wählerverzeichnis eingetragenen Wahlberechtigten wird auf dem Wahlschein vermerkt, daß dessen Erteilung nach § 19 Abs. 2 erfolgt ist und welchem Wahlbezirk der Wahlberechtigte zugeordnet wird. Werden nach Abschluß des Wählerverzeichnisses noch Wahlscheine erteilt, so ist darüber ein besonderes Verzeichnis nach den Sätzen 1 bis 3 zu führen.
(7) Wird ein Wahlberechtigter, der bereits einen Wahlschein erhalten hat, im Wählerverzeichnis gestrichen, so ist der Wahlschein für ungültig zu erklären. Die Gemeindebehörde führt darüber ein Verzeichnis, in das der Name des Wahlberechtigten und die Nummer des für ungültig erklärten Wahlscheines aufzunehmen ist; sie hat das Wahlscheinverzeichnis zu berichtigen. Die Gemeindebehörde unterrichtet den Urnen- und den Briefwahlvorstand des Wahlbezirks, für den der Wahlschein erteilt worden ist, über die Ungültigkeit des Wahlscheines. In den Fällen des § 31 Abs. 5 Bremischen Wahlgesetzes ist im Wahlscheinverzeichnis und im Verzeichnis der für ungültig erklärten Wahlscheine in geeigneter Form zu vermerken, daß die Stimme eines Wählers, der bereits an der Briefwahl teilgenommen hat, nicht ungültig ist.
(8) Am Wahltage übergibt die Gemeindebehörde den Briefwahlvorständen das Verzeichnis nach Absatz 7 Satz 2 und Nachträge zu diesem Verzeichnis oder eine Mitteilung, daß Wahlscheine nicht für ungültig erklärt worden sind.
(9) Verlorene Wahlscheine werden nicht ersetzt. Versichert ein Wahlberechtigter glaubhaft, daß ihm der beantragte Wahlschein nicht zugegangen ist, kann ihm bis zum Tage vor der Wahl, 12.00 Uhr, ein neuer Wahlschein erteilt werden; Absatz 7 Satz 1 bis 3 und Absatz 8 gelten entsprechend.
(1) Die Gemeindebehörde fordert spätestens am 8. Tage vor der Wahl von den Leitungen
der Einrichtungen, für die ein Sonderwahlbezirk gebildet worden ist (§ 2),
der kleineren Krankenhäuser, kleineren Alten- oder Pflegeheime, sozialtherapeutischen Anstalten und Justizvollzugsanstalten, für deren Wahlberechtigte die Stimmabgabe vor einem beweglichen Wahlvorstand vorgesehen ist (§§ 6a Absatz 4 und 49),
ein Verzeichnis der wahlberechtigten Personen aus dem Wahlbezirk der Einrichtung, die sich in der Einrichtung befinden oder dort beschäftigt sind und die am Wahltage in der Einrichtung wählen wollen. Die Wahlberechtigten haben dies durch ihre Unterschrift in dem Verzeichnis zu bestätigen; § 21 Absatz 1 Satz 4 gilt entsprechend. Die Gemeindebehörde erteilt diesen Wahlberechtigten Wahlscheine und übersendet sie unmittelbar an diese.
(2) Die Gemeindebehörde veranlaßt die Leitungen der Einrichtungen spätestens am 13. Tage vor der Wahl, die wahlberechtigten Personen, die sich in der Einrichtung befinden oder dort beschäftigt sind und die in Wählerverzeichnissen anderer Wahlbezirke geführt werden, zu verständigen, daß sie ihr Wahlrecht nur durch Briefwahl ausüben können und sich dafür von der Gemeindebehörde, in deren Wählerverzeichnis sie eingetragen sind, einen Wahlschein mit Briefwahlunterlagen beschaffen müssen.
Wird die Erteilung eines Wahlscheines versagt, so kann dagegen Einspruch eingelegt werden. § 16 Abs. 2, 4 und 5 gilt entsprechend. Die Frist für die Zustellung der Entscheidung (§ 16 Abs. 4 Satz 1) und für die Beschwerdeentscheidung (§ 16 Abs. 5 Satz 4) gilt nur, wenn der Einspruch vor dem 12. Tage vor der Wahl eingelegt worden ist.
(1) Nachdem der Wahltag bestimmt ist, fordern die Wahlbereichsleiter durch öffentliche Bekanntmachung zur möglichst frühzeitigen Einreichung der Wahlvorschläge auf und weisen auf die Voraussetzungen für die Einreichung von Wahlvorschlägen nach § 16 Abs. 1 Bremischen Wahlgesetzes hin. Sie geben bekannt, wo und bis zu welchem Zeitpunkt die Anzeigen nach § 16 Abs. 1 Bremischen Wahlgesetzes und die Wahlvorschläge eingereicht werden müssen und weisen auf die Bestimmungen über Inhalt und Form der Wahlvorschläge, auf die Zahl der in bestimmten Fällen beizubringenden Unterschriften und Nachweise sowie auf die mit den Wahlvorschlägen vorzulegenden Erklärungen, Niederschriften und Versicherungen hin (§§ 18 und 19 Bremischen Wahlgesetzes).
(2) Im Wahlbereich Bremen hat der Wahlbereichsleiter in seiner Bekanntmachung zusätzlich darauf hinzuweisen, unter welchen Voraussetzungen Unionsbürger wählbar sind.
(1) Der Landeswahlleiter vermerkt auf jeder Beteiligungsanzeige den Tag des Eingangs und prüft unverzüglich, ob sie den Anforderungen des Gesetzes entspricht. Stellt er Mängel fest, so benachrichtigt er sofort den Vorstand und fordert ihn auf, behebbare Mängel rechtzeitig zu beseitigen; dabei hat er darauf hinzuweisen, daß nach der Bestimmung des § 16 Abs. 2 Bremischen Wahlgesetzes
nach Ablauf der Anzeigefrist nur noch Mängel an sich gültiger Anzeigen behoben werden können,
nach der Entscheidung über die Feststellung der Eigenschaft als Partei oder Wählervereinigung jede Mängelbeseitigung ausgeschlossen ist,
der Vorstand gegen Verfügungen des Landeswahlleiters den Landeswahlausschuß anrufen kann.
(2) Der Landeswahlleiter lädt die Vereinigungen, die ihre Beteiligung an der Wahl angezeigt haben, zu der Sitzung, in der über ihre Anerkennung als Partei oder Wählervereinigung für die Wahl entschieden wird. Er legt dem Landeswahlausschuß die Beteiligungsanzeigen vor und berichtet über das Ergebnis der Vorprüfung. Vor der Beschlußfassung ist den erschienenen Beteiligten Gelegenheit zur Äußerung zu geben.
(3) Im Anschluß an die Feststellungen nach § 16 Abs. 3 Bremischen Wahlgesetzes gibt der Landeswahlleiter die Entscheidung des Landeswahlausschusses in der Sitzung unter kurzer Angabe der Gründe bekannt.
(1) Der Wahlvorschlag soll nach dem Muster der Anlage 6 a eingereicht werden. Er muß enthalten
den Namen der einreichenden Partei oder Wählervereinigung und, sofern sie eine Kurzbezeichnung verwendet, auch diese,
je Bewerber Familiennamen, mindestens einen und maximal zwei Vornamen, einen Beruf oder Stand, Geburtsdatum, Geburtsort und Anschrift (Hauptwohnung),
im Wahlbereich Bremen zusätzlich die Angabe, welche Bewerber als Unionsbürger nur zur Stadtbürgerschaft kandidieren.
Er soll ferner Namen und Anschriften der Vertrauensperson und der stellvertretenden Vertrauensperson enthalten. Bei Bewerbern, die Mitglied der Bürgerschaft, des Deutschen Bundestages oder des Europäischen Parlamentes sind, kann die Mitgliedschaft in dem Gesetzgebungsorgan anstelle oder zusätzlich zur Angabe des Berufs mit dem betreffenden Namenszusatz „MdBB“, „MdB“ oder „MdEP“ angegeben werden.
(2) Der Wahlvorschlag ist von mindestens drei Mitgliedern des Landesvorstandes, darunter dem Vorsitzenden oder seinem Stellvertreter, persönlich und handschriftlich zu unterzeichnen. Hat eine Partei oder Wählervereinigung keinen Landesverband, so ist der Wahlvorschlag von den Vorständen der nächstniedrigen Gebietsverbände der Partei oder Wählervereinigung im Gebiet der Freien Hansestadt Bremen zu unterzeichnen. Die Unterschriften des einreichenden Vorstandes genügen, wenn er innerhalb der Einreichungsfrist eine schriftliche, dem Satz 1 entsprechende Vollmacht der anderen beteiligten Vorstände beibringt.
(3) Muß ein Wahlvorschlag nach § 18 Abs. 2 Satz 2 Bremischen Wahlgesetzes von einer bestimmten Mindestzahl von Wahlberechtigten unterzeichnet sein, so sind die Unterschriften auf amtlichen Formblättern nach Anlage 7 a unter Beachtung folgender Vorschriften zu erbringen:
Die Formblätter werden auf Anforderung vom Wahlbereichsleiter kostenfrei geliefert; er kann sie auch als Druckvorlage oder elektronisch bereitstellen. Bei der Anforderung ist der Name der Partei oder Wählervereinigung, die den Wahlvorschlag einreichen will, und, sofern sie eine Kurzbezeichnung verwendet, auch diese anzugeben. Ferner ist die Aufstellung der Bewerber in einer Mitglieder- oder einer besonderen oder allgemeinen Vertreterversammlung nach § 19 Bremischen Wahlgesetzes zu bestätigen und der Anforderung beizufügen. Der Wahlbereichsleiter hat die in Satz 2 genannten Angaben im Kopf der Formblätter zu vermerken.
Die Wahlberechtigten, die einen Wahlvorschlag unterstützen, müssen die Erklärung auf dem Formblatt persönlich und handschriftlich unterzeichnen; neben der Unterschrift sind Familienname, Vornamen, Geburtsdatum und Anschrift (Hauptwohnung) des Unterzeichners sowie der Tag der Unterzeichnung anzugeben.
Für jeden Unterzeichner ist auf dem Formblatt oder gesondert eine Bescheinigung der Gemeindebehörde, bei der er im Wählerverzeichnis einzutragen ist, beizufügen, daß er im Zeitpunkt der Unterzeichnung im betreffenden Wahlbereich wahlberechtigt ist. Gesonderte Bescheinigungen des Wahlrechts sind vom Träger des Wahlvorschlages bei der Einreichung des Wahlvorschlages mit den Unterstützungsunterschriften zu verbinden. Wer für einen anderen eine Bescheinigung des Wahlrechts beantragt, muß nachweisen, daß der Betreffende den Wahlvorschlag unterstützt.
Ein Wahlberechtigter darf nur einen Wahlvorschlag unterzeichnen; hat jemand mehrere Wahlvorschläge unterzeichnet, so ist seine Unterschrift auf dem ersten nach § 17 des Bremischen Wahlgesetzes beim Wahlbereichsleiter eingereichten Wahlvorschlag gültig und auf allen weiteren allen Wahlvorschlägen ungültig.
Wahlvorschläge dürfen erst nach Aufstellung der Bewerber durch eine Mitglieder- oder Vertreterversammlung unterzeichnet werden. Vorher geleistete Unterschriften sind ungültig.
Die Zahl der Unterschriften nach § 18 Abs. 2 Satz 2 Bremischen Wahlgesetzes richtet sich nach der Zahl der Wahlberechtigten bei der letzten Wahl zur Bürgerschaft.
(4) Dem Wahlvorschlag sind beizufügen
die Erklärungen der vorgeschlagenen Bewerber nach dem Muster der Anlage 8 a, daß sie ihrer Aufstellung zustimmen und für keinen anderen Wahlvorschlag ihre Zustimmung zur Benennung als Bewerber gegeben haben; in der Erklärung ist auch anzugeben, welche bis zu zwei Vornamen von mehreren im Melderegister eingetragenen Vornamen in den zu veröffentlichenden Wahlvorschlag und auf den Stimmzettel aufzunehmen sind,
die Bescheinigungen der Gemeindebehörde nach dem Muster der Anlage 9 a, daß die Bewerber wählbar sind,
eine Ausfertigung der Niederschrift über die Beschlußfassung der Mitglieder- oder Vertreterversammlung, in der die Bewerber aufgestellt worden sind und ihre Reihenfolge auf dem Wahlvorschlag festgelegt worden ist, mit den nach § 19 Abs. 6 Bremischen Wahlgesetzes vorgeschriebenen Versicherungen an Eides Statt; die Niederschrift soll nach dem Muster der Anlage 10 a gefertigt, die Versicherung an Eides Statt nach dem Muster der Anlage 11 a abgegeben werden,
die erforderliche Zahl von Unterstützungsunterschriften nebst Bescheinigungen des Wahlrechts der Unterzeichner (Absatz 3 Nr. 2 und 3), sofern es sich um einen Wahlvorschlag einer in § 16 Abs. 3 Nr. 2 Bremischen Wahlgesetzes genannten Partei oder Wählervereinigung handelt,
eine Versicherung an Eides statt des vorgeschlagenen Bewerbers nach dem Muster der Anlage 8 a, dass er nicht Mitglied einer anderen als der den Wahlvorschlag einreichenden Partei oder Wählervereinigung ist; für die Abnahme der Versicherung an Eides statt gilt § 19 Absatz 6 Satz 3 des Gesetzes entsprechend.
(5) Die Bescheinigung des Wahlrechts (Absatz 3 Nr. 3) und die Bescheinigung der Wählbarkeit (Absatz 4 Nr. 2) sind kostenfrei zu erteilen. Die Gemeindebehörde darf für jeden Wahlberechtigten die Bescheinigung des Wahlrechts nur einmal erteilen; dabei darf sie nicht festhalten, für welchen Wahlvorschlag die erteilte Bescheinigung bestimmt ist.
(6) Dem Wahlvorschlag soll in elektronischer Form das Logo der einreichenden Partei oder Wählervereinigung beigefügt werden. Das Logo darf
an textlichen Elementen lediglich den Namen der einreichenden Partei oder Wählervereinigung, eine Abkürzung dieses Namens, eine Eigenbezeichnung oder eine Verbindung dieser Elemente enthalten,
maximal 12,2 cm breit und maximal 3 cm hoch sein,
keine rechtswidrigen Elemente beinhalten,
keine Urheberrechte verletzen. Das Haftungsrisiko tragen die einreichenden Parteien oder Wählervereinigungen.
(1) Der Wahlbereichsleiter vermerkt auf jedem Wahlvorschlag den Tag und bei Eingang am letzten Tage der Einreichungsfrist außerdem die Uhrzeit des Eingangs und übersendet dem Landeswahlleiter sofort einen Abdruck. Er prüft unverzüglich, ob die eingegangenen Wahlvorschläge vollständig sind und den Erfordernissen des Bremischen Wahlgesetzes und dieser Verordnung entsprechen.
(2) Wird der Wahlbereichsausschuß nach § 22 Abs. 4 Bremischen Wahlgesetzes im Mängelbeseitigungsverfahren angerufen, hat er über die Verfügung des Wahlbereichsleiters unverzüglich zu entscheiden. Der Vertrauensperson des betroffenen Wahlvorschlages ist Gelegenheit zur Äußerung zu geben.
(1) Der Wahlbereichsleiter lädt die Vertrauenspersonen der Wahlvorschläge zu der Sitzung, in der über die Zulassung der Wahlvorschläge entschieden wird.
(2) Der Wahlbereichsleiter legt dem Wahlbereichsausschuß alle eingegangenen Wahlvorschläge vor und berichtet ihm über das Ergebnis der Vorprüfung.
(3) Der Wahlbereichsausschuß prüft die eingegangenen Wahlvorschläge und Logos und beschließt über ihre Zulassung oder Zurückweisung sowie über die Streichung von Bewerbern. Vor einer Entscheidung ist der erschienenen Vertrauensperson des betroffenen Wahlvorschlages Gelegenheit zur Äußerung zu geben.
(4) Der Wahlbereichsausschuß stellt die zugelassenen Wahlvorschläge mit den in § 28 Abs. 1 Satz 2 und 4 bezeichneten Angaben und mit der maßgebenden Bewerberreihenfolge fest. Geben die Namen mehrerer Parteien oder Wählervereinigungen oder deren Kurzbezeichnungen zu Verwechslungen Anlaß, so fügt der Wahlbereichsausschuß einem Wahlvorschlag oder mehreren Wahlvorschlägen eine Unterscheidungsbezeichnung bei. Der Wahlbereichsausschuss stellt ferner fest, von welcher Partei oder Wählervereinigung in elektronischer Form beim Wahlbereichsleiter innerhalb der für die Einreichung von Wahlvorschlägen geltenden Frist ein den Vorgaben des § 28 Absatz 6 Satz 2 Nummern 1 und 2 entsprechendes Logo eingereicht wurde.
(5) Der Wahlbereichsleiter gibt die Entscheidung des Wahlbereichsausschusses in der Sitzung im Anschluß an die Beschlußfassung unter kurzer Angabe der Gründe bekannt und weist auf den zulässigen Rechtsbehelf hin.
(6) Die Niederschrift über die Sitzung (§ 5 Absatz 7) ist nach dem Muster der Anlage 12 zu fertigen; ihr sind die zugelassenen Wahlvorschläge in der vom Wahlbereichsausschuss festgestellten Fassung beizufügen.
(7) Nach der Sitzung übersendet der Wahlbereichsleiter dem Landeswahlleiter sofort eine Ausfertigung der Niederschrift und weist dabei auf ihm bedenklich erscheinende Entscheidungen besonders hin. Er ist verpflichtet, dem Landeswahlleiter auf Verlangen alle für die Einlegung einer Beschwerde erforderlichen Auskünfte zu erteilen und Feststellungen zu treffen.
(1) Die Beschwerde gegen eine Entscheidung des Wahlbereichsausschusses ist schriftlich oder zur Niederschrift beim Wahlbereichsleiter einzulegen. Der Wahlbereichsleiter hat seine Beschwerde schriftlich beim Landeswahlleiter einzulegen. Die Schriftform wird auch durch Telegramm oder Telefax gewahrt. Der Wahlbereichsleiter unterrichtet unverzüglich den Landeswahlleiter über die eingegangenen Beschwerden und verfährt nach dessen Anweisungen.
(2) Der Landeswahlleiter lädt die Beschwerdeführer, die Vertrauenspersonen der betroffenen Wahlvorschläge und den Wahlbereichsleiter zu der Sitzung des Landeswahlausschusses, in der über die Beschwerde entschieden wird. Den Vertrauenspersonen ist Gelegenheit zur Äußerung zu geben.
(3) Der Landeswahlleiter gibt die Entscheidung des Landeswahlausschusses in der Sitzung im Anschluß an die Beschlußfassung unter kurzer Angabe der Gründe bekannt.
Der Wahlbereichsleiter ordnet die endgültig zugelassenen Wahlvorschläge in der durch § 24 Abs. 2 Bremischen Wahlgesetzes bestimmten Reihenfolge unter fortlaufenden Nummern und macht sie öffentlich bekannt. Die Bekanntmachung enthält für jeden Wahlvorschlag die in § 28 Absatz 1 Satz 2 und 4 bezeichneten Angaben und gegebenenfalls das nach § 30 Absatz 3 Satz 1, Absatz 4 Satz 3 vom Wahlbereichsausschuss festgestellte Logo sowie die Unterscheidungsbezeichnung nach § 30 Absatz 4 Satz 2; statt des Geburtsdatums ist jedoch nur das Geburtsjahr der Bewerber anzugeben, statt der Anschrift ist nur der Stadtteil, hilfsweise der Ortsteil anzugeben, ferner ist der Geburtsort nicht aufzunehmen; sind in einem Wahlvorschlag entgegen § 28 Absatz 1 Nummer 2 für einen Bewerber mehr als zwei Vornamen angegeben oder stimmt ein angegebener Vorname nicht mit den Eintragungen im Melderegister überein, werden in diesen die im Melderegister an erster und zweiter Stelle eingetragenen Vornamen, hilfsweise der an erster Stelle eingetragene Vorname, übernommen. Der Wahlbereichsleiter unterrichtet unverzüglich den Landeswahlleiter über die Erreichbarkeitsanschrift.
(1) Die Größe des Stimmzettels richtet sich nach der Anzahl der Wahlvorschläge und der Bewerber. Er ist aus weißem oder weißlichem Papier, für Unionsbürger aus weißem oder weißlichem Papier, das mit Ausnahme des für die Anbringung der Logos nach § 33 Absatz 1c Satz 2 vorgesehenen Feldes mit einem grünen oder grünlichem Flächendruck versehen ist. Das Papier muss so beschaffen sein, dass nach Kennzeichnung und Faltung durch den Wähler andere Personen nicht erkennen können, wie er gewählt hat. Der Landeswahlleiter legt die Gestaltung des Stimmzettels nach Maßgabe der folgenden Absätze fest.
(1a) Der Stimmzettel enthält in der Reihenfolge und unter der Nummer ihrer Bekanntmachung nach § 32 die zugelassenen Wahlvorschläge. In der drucktechnisch auffällig zu gestaltenden Kopfzeile eines jeden Wahlvorschlages sind der Name der Partei oder Wählervereinigung und, sofern sie eine Kurzbezeichnung verwendet, auch diese anzugeben. Die Bewerber eines jeden Wahlvorschlages werden in der zugelassenen Reihenfolge mit Familiennamen sowie den in der amtlichen Bekanntmachung gemäß § 32 Satz 2 aufgeführten Vornamen, Stadt- oder Ortsteil der Hauptwohnung, Geburtsjahr und einem Beruf aufgeführt; bei Bewerbern, die Mitglied der Bürgerschaft, des Deutschen Bundestages oder des Europäischen Parlamentes sind, wird die Mitgliedschaft in dem Gesetzgebungsorgan anstelle oder zusätzlich zur Angabe des Berufs mit dem betreffenden Namenszusatz „MdBB“, „MdB“ oder „MdEP“ angegeben, sofern in dem nach § 28 Absatz 1 eingereichten Wahlvorschlag diese Angabe enthalten ist. Jeder Bewerber erhält auf dem Stimmzettel ein abgegrenztes Feld gleicher Größe. Bewerber, die im Wahlbereich Bremen als Unionsbürger nur für die Stadtbürgerschaft kandidieren, sind besonders zu kennzeichnen.
(1b) Für die Stimmabgabe zugunsten eines Wahlvorschlags in seiner Gesamtheit (Listenwahl) ist unter der Kopfzeile eines jeden Wahlvorschlages eine Zeile mit der Bezeichnung „Gesamtliste“ anzubringen. Daneben sind fünf gleich große Kreise zur Kennzeichnung aufzudrucken. Für die Stimmabgabe zugunsten der einzelnen Bewerber (Personenwahl) sind ebensolche Kreise neben dem Feld für jeden Bewerber aufzudrucken.
(1c) Auf dem Stimmzettel ist das vom Wahlbereichsausschuss nach Maßgabe des § 30 Absatz 4 Satz 3 festgestellte Logo der Partei oder Wählervereinigung farbig aufzudrucken. Der Aufdruck erfolgt rechts zwischen der Kopfzeile nach Absatz 1a Satz 2 und den einzelnen Bewerbern innerhalb eines Feldes, das 12,2 cm breit und 3 cm hoch ist, wobei das Logo selbst in derjenigen Größe aufzudrucken ist, die eine Fläche von 5 cm2 hat. Als Fläche gilt die kleinere Fläche, die sich ergibt, wenn um das Logo das kleinstmögliche Rechteck, das alle Elemente des Logos umschließt, gelegt wird, und dieses mit dem kleinstmöglichen Kreis, der alle Elemente des Logos umschließt, verglichen wird. Hat der Wahlbereichsausschuss nach § 30 Absatz 4 Satz 3 festgestellt, dass eine Partei oder Wählervereinigung innerhalb der für die Einreichung von Wahlvorschlägen beim Wahlbereichsleiter geltenden Frist kein den Vorgaben des § 28 Absatz 6 entsprechendes Logo in elektronischer Form beim Wahlbereichsleiter eingereicht hat, unterbleibt bei dieser Partei oder Wählervereinigung ein Aufdruck des Logos auf dem Stimmzettel.
(1d) Der Stimmzettel kann aus einem Blatt bestehen oder in Form eines Stimmzettelhefts gestaltet sein.
(1e) Besteht der Stimmzettel aus einem Blatt, sind in einem Erläuterungsfeld die unterschiedlichen Möglichkeiten der Stimmabgabe in Leichter Sprache nach dem Muster der Anlage 24 zu erklären. Darunter sind die Wahlvorschläge fortlaufend oder nebeneinander anzubringen. Jeder Wahlvorschlag erhält ein abgegrenztes Feld, das nicht durch Spaltenumbruch unterbrochen werden darf.
(1f) Ein Stimmzettelheft enthält eine Seite, auf der die unterschiedlichen Möglichkeiten der Stimmabgabe in Leichter Sprache nach dem Muster der Anlage 24 zu erklären sind. Es folgt ein Inhaltsverzeichnis, in dem in weißer Schriftfarbe auf schwarzem Untergrund die Parteien und Wählervereinigungen in der Reihenfolge nach Absatz 1a Satz 1 mit Seitenzahlen aufgelistet sind; im Inhaltsverzeichnis unterbleibt ein Abdruck der Logos der Parteien und Wählervereinigungen.
(1g) Grüne Stimmzettel im Sinne der §§ 56 und 59 sowie der Anlagen sind die nach Absatz 1 Satz 2 für Unionsbürger vorgesehenen Stimmzettel.
(2) Die Stimmzettelumschläge für die Briefwahl sollen blau, für Unionsbürger grün und nach dem Muster der Anlage 3 beschriftet sein. Sie müssen undurchsichtig und durch Klebung verschließbar sein. Der Stimmzettelumschlag muss so groß sein, dass er den Stimmzettel aufnehmen kann.
(3) Die Wahlbriefumschläge sollen rot und nach dem Muster der Anlage 4 beschriftet sein. Sie müssen undurchsichtig und durch Klebung verschließbar sein. Der Wahlbriefumschlag muss größer sein als der Stimmzettelumschlag.
(4) Die Stimmzettel und Stimmzettelumschläge für die Briefwahl werden für jeden Wahlbereich vom Wahlbereichsleiter beschafft. Zur Verwendung von Stimmzettelschablonen wird eine rechte Ecke des Stimmzettels gelocht, abgeschnitten oder anderweitig gekennzeichnet. Muster der Stimmzettel werden unverzüglich nach ihrer Fertigstellung den Blindenvereinen, die ihre Bereitschaft zur Herstellung von Stimmzettelschablonen erklärt haben, zur Verfügung gestellt.
(1) Die Gemeindebehörde bestimmt für jeden Wahlbezirk einen Wahlraum. Soweit möglich, stellen die Gemeinden Wahlräume in Gemeindegebäuden zur Verfügung. Die Wahlräume sollen nach den örtlichen Verhältnissen so ausgewählt und eingerichtet werden, dass allen Wahlberechtigten, insbesondere Menschen mit Behinderungen und anderen Menschen mit Mobilitätsbeeinträchtigung, die Teilnahme an der Wahl möglichst erleichtert wird. Die Gemeindebehörden teilen frühzeitig und in geeigneter Weise mit, welche Wahlräume barrierefrei sind.
(2) In größeren Wahlbezirken, in denen sich Wählerverzeichnisse teilen lassen, kann gleichzeitig in verschiedenen Gebäuden oder in verschiedenen Räumen desselben Gebäudes oder an verschiedenen Tischen des Wahlraumes gewählt werden. Für jeden Wahlraum oder Tisch wird ein Urnenwahlvorstand gebildet. Sind mehrere Urnenwahlvorstände in einem Wahlraum tätig, so bestimmt die Gemeindebehörde, welcher Vorstand für Ruhe und Ordnung im Wahlraum sorgt.
(3) Die Gemeindebehörde bestimmt die Räume für die Zulassung der Wahlbriefe und die Feststellung des Wahlergebnisses durch die Auszählwahlvorstände, stellt sie zur Verfügung und sorgt für die notwendige Ausstattung.
(1) Die Gemeindebehörde macht spätestens am 6. Tage vor der Wahl Beginn und Ende der Wahlzeit sowie die Wahlbezirke, Wahlräume und Räume, in denen Briefwahl- und Auszählwahlvorstände zusammentreten, öffentlich bekannt; an Stelle der Aufzählung der Wahlbezirke mit ihrer Abgrenzung und ihren Wahlräumen kann auf die Angaben in der Wahlbenachrichtigung verwiesen werden. Die Bekanntmachung erfolgt in Leichter Sprache nach dem Muster der Anlage 23.
(2) Ein Abdruck der Wahlbekanntmachung ist vor Beginn der Wahlhandlung am oder im Eingang des Gebäudes, in dem sich der Wahlraum befindet, anzubringen. Dem Abdruck ist ein Stimmzettel als Muster beizufügen.
Die Gemeindebehörde übergibt dem Urnenwahlvorsteher eines jeden Wahlbezirks vor Beginn der Wahlhandlung
das abgeschlossene Wählerverzeichnis,
das Verzeichnis der eingetragenen Wahlberechtigten, denen nach Abschluß des Wählerverzeichnisses noch Wahlscheine erteilt worden sind (§ 22 Abs. 6 Satz 5),
amtliche Stimmzettel in genügender Zahl,
Vordrucke des ersten und zweiten Teils der Wahlniederschrift,
Abdrucke des Bremischen Wahlgesetzes und dieser Verordnung,
Abdruck der Wahlbekanntmachung,
Verschluss- und Siegelmaterial für die Wahlurne,
Material und Siegel zum Verpacken der Stimmzettel und Wahlscheine.
(1) In jedem Wahlraum richtet die Gemeindebehörde eine Wahlkabine oder mehrere Wahlkabinen mit Tischen ein, in denen der Wähler seinen Stimmzettel unbeobachtet kennzeichnen und falten kann. Die Wahlkabinen müssen vom Tisch des Urnenwahlvorstandes aus überblickt werden können. Als Wahlkabine kann auch ein nur durch den Wahlraum zugänglicher Nebenraum dienen, wenn dessen Eingang vom Tisch des Urnenwahlvorstandes aus überblickt werden kann.
(1) Die Gemeindebehörde sorgt für die erforderlichen Wahlurnen.
(2) Die Wahlurne muss mit einem Deckel versehen sein. Sie muss so groß sein, dass sie die zu erwartenden Stimmzettel ohne weiteres aufnehmen kann. Im Deckel muss die Wahlurne einen Spalt haben, der so zu gestalten ist, dass die Stimmzettel dadurch nicht wieder entnommen werden können.
(3) Für die Stimmabgabe in Sonderwahlbezirken und vor einem beweglichen Wahlvorstand können kleinere Wahlurnen verwendet werden.
(1) Der Urnenwahlvorsteher eröffnet die Wahlhandlung damit, dass er die anwesenden Beisitzer auf ihre Verpflichtung zur unparteiischen Wahrnehmung ihres Amtes und zur Verschwiegenheit über die ihnen bei ihrer amtlichen Tätigkeit bekannt gewordenen Angelegenheiten hinweist. Er stellt sicher, dass der Hinweis allen Beisitzern vor Aufnahme ihrer Tätigkeit erteilt wird.
(2) Vor Beginn der Stimmabgabe berichtigt der Urnenwahlvorsteher das Wählerverzeichnis nach dem etwa vorliegenden Verzeichnis der nachträglich erteilten Wahlscheine (§ 22 Abs. 6 Satz 5), indem er bei den in diesem Verzeichnis aufgeführten Wahlberechtigten in der Spalte für den Stimmabgabevermerk "Wahlschein" oder "W" einträgt. Er berichtigt dementsprechend die Abschlußbescheinigung des Wählerverzeichnisses in der daneben vorgesehenen Spalte und bescheinigt das an der vorgesehenen Stelle. Erhält der Urnenwahlvorsteher später die Mitteilung von der Erteilung von Wahlscheinen nach § 21 Abs. 4 Satz 3, verfährt er entsprechend den Sätzen 1 und 2.
(3) Der Urnenwahlvorstand überzeugt sich vor Beginn der Stimmabgabe davon, daß die Wahlurne leer ist. Der Urnenwahlvorsteher verschließt die Wahlurne. Sie darf bis zum Schluß der Wahlhandlung nicht mehr geöffnet werden.
(1) Wenn der Wähler den Wahlraum betritt, erhält er einen amtlichen Stimmzettel. Er soll hierzu seine Wahlbenachrichtigung vorzeigen.
(2) Der Wähler begibt sich in die Wahlkabine, kennzeichnet dort seinen Stimmzettel und faltet ihn dort in der Weise, dass seine Stimmabgabe nicht erkennbar ist. In der Wahlkabina darf nicht fotografiert oder gefilmt werden. Der Urnenwahlvorstand achtet darauf, daß sich immer nur ein Wähler und dieser nur so lange wie notwendig in der Wahlkabine aufhält.
(3) Danach tritt der Wähler an den Tisch des Urnenwahlvorstandes und gibt seine Wahlbenachrichtigung ab. Auf Verlangen, insbesondere wenn er seine Wahlbenachrichtigung nicht vorlegt, hat er sich über seine Person auszuweisen.
(4) Sobald der Schriftführer den Namen des Wählers im Wählerverzeichnis gefunden hat, die Wahlberechtigung festgestellt ist und kein Anlaß zur Zurückweisung des Wählers nach den Absätzen 6 und 7 besteht, gibt der Urnenwahlvorsteher die Wahlurne frei. Der Wähler wirft den gefalteten Stimmzettel in die Wahlurne. Der Schriftführer vermerkt die Stimmabgabe neben dem Namen des Wählers im Wählerverzeichnis in der dafür bestimmten Spalte. Die Mitglieder des Urnenwahlvorstandes sind dabei, wenn nicht die Feststellung der Wahlberechtigung es erfordert, nicht befugt, Angaben zur Person des Wählers so zu verlautbaren, daß sie von sonstigen im Wahlraum Anwesenden zur Kenntnis genommen werden können.
(6) Der Urnenwahlvorstand hat einen Wähler zurückzuweisen, der
nicht in das Wählerverzeichnis eingetragen ist und keinen für den betreffenden Wahlbezirk erteilten Wahlschein besitzt,
sich auf Verlangen des Urnenwahlvorstandes nicht ausweisen kann oder die zur Feststellung der Identität erforderlichen Mitwirkungshandlungen verweigert,
keinen Wahlschein vorlegt, obwohl sich im Wählerverzeichnis ein Wahlscheinvermerk (§ 24) befindet, es sei denn, es wird festgestellt, daß er nicht im Wahlscheinverzeichnis eingetragen ist,
bereits einen Stimmabgabevermerk im Wählerverzeichnis hat (Absatz 4 Satz 3), es sei denn, er weist nach, daß er noch nicht gewählt hat,
seinen Stimmzettel außerhalb der Wahlkabine gekennzeichnet oder gefaltet hat,
seinen Stimmzettel so gefaltet hat, dass seine Stimmabgabe erkennbar ist, oder ihn mit einem äußerlich sichtbaren, das Wahlgeheimnis offensichtlich gefährdenden Kennzeichen versehen hat,
für den Urnenwahlvorstand erkennbar in der Wahlkabine fotografiert oder gefilmt hat oder
für den Urnenwahlvorstand erkennbar mehrere oder einen nicht amtlich hergestellten Stimmzettel abgeben oder mit dem Stimmzettel einen weiteren Gegenstand in die Wahlurne werfen will.
Ein Wähler, der nicht in das Wählerverzeichnis eingetragen ist und keinen Wahlschein besitzt und der im Vertrauen auf die ihm übersandte Benachrichtigung, daß er im Wählerverzeichnis eingetragen ist, keinen Einspruch eingelegt hat, ist gegebenenfalls bei der Zurückweisung darauf hinzuweisen, daß er bei der Gemeindebehörde bis 15.00 Uhr einen Wahlschein beantragen kann.
(7) Glaubt der Urnenwahlvorsteher, das Wahlrecht einer im Wählerverzeichnis eingetragenen Person beanstanden zu müssen oder werden sonst aus der Mitte des Urnenwahlvorstandes Bedenken gegen die Zulassung eines Wählers zur Stimmabgabe erhoben, so beschließt der Urnenwahlvorstand über die Zulassung oder Zurückweisung. Der Beschluß ist in der Wahlniederschrift zu vermerken.
(8) Hat der Wähler seinen Stimmzettel verschrieben oder versehentlich unbrauchbar gemacht oder wird der Wähler nach Absatz 6 Nummer 4 bis 6 zurückgewiesen, so ist ihm auf Verlangen ein neuer Stimmzettel auszuhändigen, nachdem er den alten Stimmzettel im Beisein eines Mitglieds des Urnenwahlvorstandes vernichtet hat.
(1) Ein Wähler, der des Lesens unkundig ist oder der wegen einer Behinderung gehindert ist, den Stimmzettel zu kennzeichnen, zu falten oder selbst in die Wahlurne zu werfen, bestimmt eine andere Person, deren Hilfe er sich bei der Stimmabgabe bedienen will, und gibt dies dem Urnenwahlvorstand bekannt. Hilfsperson kann auch ein vom Wähler bestimmtes Mitglied des Urnenwahlvorstandes sein.
(2) Die Hilfeleistung ist auf technische Hilfe bei der Kundgabe einer vom Wahlberechtigten selbst getroffenen Wahlentscheidung beschränkt. Unzulässig ist eine Hilfeleistung, die unter missbräuchlicher Einflussnahme erfolgt, die selbstbestimmte Willensbildung oder Entscheidung des Wahlberechtigten ersetzt oder verändert oder wenn ein Interessenkonflikt der Hilfsperson besteht.
(3) Die Hilfsperson darf gemeinsam mit dem Wähler die Wahlkabine aufsuchen, soweit das zur Hilfeleistung erforderlich ist. Die Hilfsperson ist zur Geheimhaltung der Kenntnisse verpflichtet, die sie bei der Hilfeleistung von der Wahl eines anderen erlangt hat.
(4) Ein blinder oder sehbehinderter Wähler kann sich zur Kennzeichnung des Stimmzettels auch einer Stimmzettelschablone bedienen.
(1) Der Inhaber eines Wahlscheines ist nur zur Stimmabgabe zugelassen, wenn er einen Wahlschein besitzt, der für den betreffenden Wahlbezirk erteilt ist. Der Inhaber des Wahlscheines nennt seinen Namen, weist sich aus und übergibt den Wahlschein dem Urnenwahlvorsteher. Dieser prüft, ob der Wahlschein für seinen Wahlbezirk erteilt ist. Entstehen Zweifel über die Gültigkeit des Wahlscheines oder über den rechtmäßigen Besitz, so klärt sie der Urnenwahlvorstand nach Möglichkeit und beschließt über die Zulassung oder Zurückweisung des Inhabers. Der Vorgang ist in der Wahlniederschrift zu vermerken. Der Urnenwahlvorsteher behält den Wahlschein auch im Falle der Zurückweisung ein.
(2) Ist der Wahlschein für einen anderen Wahlbezirk erteilt, so ist der Wahlberechtigte an den Wahlraum jenes Wahlbezirks zu verweisen. Sofern er im Besitz von Briefwahlunterlagen ist, kann er den Wahlbrief bis 18.00 Uhr bei der zuständigen, auf dem Wahlbriefumschlag angegebenen Gemeindebehörde abgeben.
Sobald die Wahlzeit gemäß § 35 abgelaufen ist, wird dies vom Wahlvorsteher bekanntgegeben. Von da ab sind nur noch die Wähler zur Stimmabgabe zuzulassen, die vor Ablauf der Wahlzeit erschienen sind und sich im Wahlraum oder aus Platzgründen davor befinden. Nach Ablauf der Wahlzeit eintreffenden Personen ist der Zutritt zur Stimmabgabe zu sperren. Nachdem die vor Ablauf der Wahlzeit erschienenen Wähler ihre Stimme abgegeben haben, erklärt der Wahlvorsteher die Wahlhandlung für geschlossen.
(1) Zur Stimmabgabe in Sonderwahlbezirken (§ 2) wird jeder in der Einrichtung anwesende Wahlberechtigte zugelassen, der einen für den Wahlbezirk der Einrichtung gültigen Wahlschein hat.
(2) Es ist zulässig, für die verschiedenen Teile eines Sonderwahlbezirks verschiedene Personen als Beisitzer des Urnenwahlvorstandes zu bestellen.
(3) Die Gemeindebehörde bestimmt im Einvernehmen mit der Leitung der Einrichtung einen geeigneten Wahlraum. Für verschiedene Teile eines Sonderwahlbezirks können verschiedene Wahlräume bestimmt werden. Die Gemeindebehörde richtet den Wahlraum her.
(4) Die Gemeindebehörde bestimmt die Wahlzeit für den Sonderwahlbezirk im Einvernehmen mit der Leitung der Einrichtung im Rahmen der allgemeinen Wahlzeit nach dem tatsächlichen Bedürfnis.
(5) Die Leitung der Einrichtung gibt den Wahlberechtigten den Wahlraum und die Wahlzeit am Tage vor der Wahl bekannt und weist auf die Möglichkeit der Stimmabgabe nach Absatz 6 hin.
(6) Der Urnenwahlvorsteher oder sein Stellvertreter und zwei Beisitzer können sich unter Mitnahme einer verschlossenen Wahlurne und der erforderlichen Stimmzettel auch in die Krankenzimmer und an die Krankenbetten begeben. Dort nehmen sie die Wahlscheine entgegen und verfahren nach § 44 Abs. 4 bis 8 und § 46. Dabei muß auch bettlägerigen Wählern Gelegenheit gegeben werden, ihre Stimmzettel unbeobachtet zu kennzeichnen und zu falten. Der Urnenwahlvorsteher oder sein Stellvertreter weist Wähler, die sich bei der Stimmabgabe der Hilfe einer anderen Person bedienen wollen, darauf hin, daß sie auch ein von ihnen bestimmtes Mitglied des Urnenwahlvorstandes als Hilfsperson in Anspruch nehmen können. Nach Schluß der Stimmabgabe sind die verschlossene Wahlurne und die Wahlscheine unverzüglich in den Wahlraum des Sonderwahlbezirks zu bringen. Dort ist die Wahlurne bis zum Schluß der allgemeinen Stimmabgabe unter Aufsicht des Urnenwahlvorstandes verschlossen zu verwahren. Danach wird ihr Inhalt mit dem Inhalt der allgemeinen Wahlurne vermengt und zusammen mit den übrigen Stimmen des Sonderwahlbezirks ausgezählt. Der Vorgang ist in der Wahlniederschrift zu vermerken.
(7) Die Öffentlichkeit der Wahlhandlung sowie der Ermittlung und Feststellung des Wahlergebnisses soll nach Möglichkeit durch die Anwesenheit anderer Wahlberechtigter gewährleistet werden.
(8) Die Leitung der Einrichtung hat bei Kranken mit ansteckenden Krankheiten insbesondere § 30 Absatz 1 des Infektionsschutzgesetzes zu beachten.
(9) Das Wahlergebnis des Sonderwahlbezirks darf nicht vor Schluß der allgemeinen Wahlzeit ermittelt werden.
(1) Die Gemeindebehörde soll bei entsprechendem Bedürfnis und soweit möglich im Benehmen mit der Leitung eines kleineren Krankenhauses, eines kleineren Alten- oder Pflegeheimes, einer sozialtherapeutischen Anstalt oder Justizvollzugsanstalt zulassen, daß dort anwesende Wahlberechtigte, die einen für den Wahlbezirk der Einrichtung gültigen Wahlschein besitzen, in der Einrichtung vor einem beweglichen Wahlvorstand (§ 6a Absatz 4) wählen.
(2) Die Gemeindebehörde vereinbart mit der Leitung der Einrichtung die Zeit der Stimmabgabe innerhalb der allgemeinen Wahlzeit. Die Leitung der Einrichtung stellt, soweit erforderlich, einen geeigneten Wahlraum bereit. Die Gemeindebehörde richtet ihn her. Die Leitung der Einrichtung gibt den Wahlberechtigten Ort und Zeit der Stimmabgabe bekannt.
(3) Der bewegliche Urnenwahlvorstand begibt sich unter Mitnahme einer verschlossenen Wahlurne und der erforderlichen Stimmzettel in die Einrichtung, nimmt die Wahlscheine entgegen und verfährt nach § 44 Abs. 4 bis 8 und § 46. Der Urnenwahlvorsteher oder sein Stellvertreter weist Wähler, die sich bei der Stimmabgabe der Hilfe einer anderen Person bedienen wollen, darauf hin, dass sie auch ein von ihnen bestimmtes Mitglied des Urnenwahlvorstandes als Hilfsperson in Anspruch nehmen können. Nach Schluß der Stimmabgabe sind die verschlossene Wahlurne und die Wahlscheine unverzüglich in den Wahlraum des Wahlbezirks zu bringen. Dort ist die Wahlurne bis zum Schluß der allgemeinen Stimmabgabe unter Aufsicht des Urnenwahlvorstandes verschlossen zu verwahren. Danach wird ihr Inhalt mit dem Inhalt der allgemeinen Wahlurne vermengt und zusammen mit den Stimmen des Wahlbezirks ausgezählt. Der Vorgang ist in der Wahlniederschrift zu vermerken.
(4) § 48 Abs. 6 bis 8 gilt entsprechend. Im übrigen gelten die allgemeinen Bestimmungen.
(1) Wer durch Briefwahl wählt,
kennzeichnet persönlich den Stimmzettel, legt ihn in den amtlichen Stimmzettelumschlag und verschließt diesen,
unterzeichnet die auf dem Wahlschein vorgedruckte Versicherung an Eides Statt zur Briefwahl unter Angabe des Ortes und Tages,
steckt den verschlossenen amtlichen Stimmzettelumschlag und den unterschriebenen Wahlschein in den amtlichen Wahlbriefumschlag,
verschließt den Wahlbriefumschlag und
übersendet den Wahlbrief durch ein Postunternehmen rechtzeitig an die nach Absatz 2 zuständige, auf dem Wahlbriefumschlag angegebene Stelle. Der Wahlbrief kann bei dieser Stelle auch abgegeben werden. Nach Eingang des Wahlbriefes bei der zuständigen Stelle darf er nicht mehr zurückgegeben werden.
Die Wahlbriefe können innerhalb des Bundesgebietes bei einem oder mehreren vor der Wahl amtlich bekannt gemachten Postunternehmen als Briefsendung ohne besondere Versendungsform unentgeltlich eingeliefert werden, wenn sie sich in amtlichen Wahlbriefumschlägen befinden.
(2) Die Wahlbriefe müssen bei der Gemeindebehörde eingehen, die die Wahlscheine ausgestellt hat.
(3) Der Stimmzettel ist unbeobachtet zu kennzeichnen und in den Stimmzettelumschlag zu legen; § 44 Abs. 8 gilt entsprechend. Für die Stimmabgabe von Wählern mit Behinderungen gilt § 45 entsprechend. Hat der Wähler den Stimmzettel durch eine Hilfsperson kennzeichnen lassen, so hat diese durch Unterschreiben der Versicherung an Eides Statt zur Briefwahl zu bestätigen, daß sie den Stimmzettel gemäß dem erklärten Willen des Wählers gekennzeichnet hat; die Hilfsperson muss das 16. Lebensjahr vollendet haben.
(4) In Krankenhäusern, Altenheimen, Altenwohnheimen, Pflegeheimen, Erholungsheimen, sozialtherapeutischen Anstalten und Justizvollzugsanstalten sowie Gemeinschaftsunterkünften ist Vorsorge zu treffen, daß der Stimmzettel unbeobachtet gekennzeichnet und in den Stimmzettelumschlag gelegt werden kann. Die Leitung der Einrichtung bestimmt einen geeigneten Raum, veranlaßt dessen Ausstattung und gibt den Wahlberechtigten bekannt, in welcher Zeit der Raum für die Ausübung der Briefwahl zur Verfügung steht. § 44 Abs. 8 gilt entsprechend.
(5) Die Gemeindebehörde weist die Leitungen der Einrichtungen in ihrem Gemeindegebiet spätestens am 13. Tage vor der Wahl auf die Regelung des Absatzes 4 hin.
(1) Im Anschluss an die Wahlhandlung stellt der Urnenwahlvorstand für den Wahlbezirk fest
die Zahl der Wahlberechtigten,
die Zahl der Wähler.
Im Wahlbereich Bremen sind die Feststellungen nach Satz 1 getrennt für Deutsche und Unionsbürger vorzunehmen.
(2) Vor dem Öffnen der Wahlurne werden alle nicht benutzten Stimmzettel vom Wahltisch entfernt. Sodann werden die Stimmzettel der Wahlurne entnommen und gezählt. Zugleich werden die Zahl der Stimmabgabevermerke im Wählerverzeichnis und die Zahl der eingenommenen Wahlscheine festgestellt. Ergibt sich dabei auch nach wiederholter Zählung keine Übereinstimmung, so ist dies in der Wahlniederschrift zu vermerken und, soweit möglich, zu erläutern.
(3) Der Urnenwahlvorstand fertigt über die Wahlhandlung und seine Feststellungen eine Wahlniederschrift nach Maßgabe von § 58.
(4) Anschließend verpackt der Urnenwahlvorstand die Stimmzettel und sonstigen Wahlunterlagen und übergibt sie der Gemeindebehörde nach Maßgabe von § 59 Absatz 1.
(1) Die Ermittlung des Wahlergebnisses inklusive der Stimmauszählung im Auszählwahlvorstand kann unter Einsatz elektronischer Datenverarbeitung erfolgen. Die eingesetzte Software muss für die Verwendung bei Wahlen in der Freien Hansestadt Bremen zugelassen sein. Über die Zulassung entscheidet der Landeswahlleiter.
(2) Die Zulassung der Software kann erfolgen, wenn
technisch gewährleistet ist, dass die Stimmen unverfälscht erfasst werden und das Wahlergebnis korrekt ermittelt wird,
nach Maßgabe von Absatz 3 sichergestellt ist, dass die Ermittlung des Wahlergebnisses in öffentlich nachvollziehbarer Weise erfolgt,
die Funktionsfähigkeit der Software, insbesondere die Voraussetzungen der Nummern 1 und 2 durch den Landeswahlleiter überprüft wurde.
(3) Die Voraussetzung des Absatz 2 Nummer 2 ist insbesondere dann erfüllt, wenn die Software
die nachprüfbare Erfassung eines jeden Stimmzettels unter einer eindeutigen Nummer ermöglicht,
über eine Schnittstelle verfügt, die den Export der erfassten Daten in ein anderes Programm, insbesondere ein Tabellenkalkulationsprogramm ermöglicht, so dass dort unabhängig von der Erfassungssoftware eine zweite Berechnung erfolgen und eine eigenständig Speicher- und druckfähige Prüfliste erstellt werden kann,
für jeden Wahlvorschlag einen Zähler enthält, der während der Stimmauszählung die Zahl der durch das jeweilige Zählteam bereits erfassten Listen- und Personenstimmen fortlaufend anzeigt und
Funktionen zur Durchführung von Stichprobenkontrollen beinhaltet.
Die Zulassung kann auch erfolgen, wenn die Software anstelle der in Satz 1 Nummern 2 bis 4 ausdrücklich genannten Kontrollmechanismen über andere Funktionen verfügt, die die öffentliche Nachvollziehbarkeit der Ergebnisermittlung mindestens ebenso gut gewährleisten.
(4) Die Zulassung hat die genaue Version der überprüften Software zu bezeichnen und gilt nur für diese. Der Landeswahlleiter bestimmt in der Zulassung die erforderlichen Auflagen für den Einsatz der Software. Die Entscheidung über die Zulassung ist dem Hersteller der Software, den Wahlbereichsleitern und den Gemeindebehörden bekannt zu geben.
(5) Die Gemeindebehörden stellen sicher, dass die eingesetzten Computer ordnungsgemäß funktionieren, keine Manipulationen vorgenommen werden, Unbefugte keinen Zugang zu den Computern haben und den befugten Nutzern nur die jeweils erforderlichen technischen Rechte eingeräumt werden. Vor dem Einsatz ist eine Überprüfung der Computer und deren Dokumentation durch sachverständige Mitarbeiter der Gemeindebehörde erforderlich.
(6) Die Zulassung ist zurückzunehmen, wenn im Zeitpunkt der Entscheidung eine Zulassungsvoraussetzung nach dieser Vorschrift nicht vorlag oder wenn die Zulassung durch Täuschung, Drohung oder sonstige rechtswidrige Mittel erlangt wurde. Die Zulassung ist zu widerrufen, wenn nachträglich eine Zulassungsvoraussetzung nach dieser Vorschrift entfallen ist. §§ 48 und 49 des Bremischen Verwaltungsverfahrensgesetzes bleiben unberührt.
Die Gemeindebehörde übergibt dem Auszählwahlvorsteher eines jeden Wahlbezirks vor Beginn der Feststellung des Wahlergebnisses
das abgeschlossene Wählerverzeichnis,
das Verzeichnis der eingetragenen Wahlberechtigten, denen nach Abschluss des Wählerverzeichnisses noch Wahlscheine erteilt worden sind (§ 22 Absatz 6 Satz 5),
die vom Urnenwahlvorstand gezählten und verpackten Stimmzettelpakete,
den vom Urnenwahlvorstand ausgefüllten ersten Teil der Wahlniederschrift mit Anlagen sowie den zweiten Teil der Wahlniederschrift,
einen Vordruck des dritten Teils der Wahlniederschrift nach § 58 Absatz 2,
Abdrucke des Bremischen Wahlgesetzes und dieser Verordnung,
einen Abdruck der Wahlbekanntmachung,
Verschluss- und Siegelmaterial,
Material und Siegel zum Verpacken der Stimmzettel und Wahlscheine und
gegebenenfalls Zähllisten.
Dem besonderen Auszählwahlvorstand zur Ermittlung und Feststellung des Wahlergebnisses der Unionsbürger sowie den Auszählwahlvorständen, die für die Ermittlung und Feststellung des Ergebnisses der Briefwahlbezirke eingesetzt werden, übergibt die Gemeindebehörde nur die in Satz 1 Nummern 3 bis 10 genannten Gegenstände.
(1) Der Auszählwahlvorstand ermittelt für den Wahlbezirk das Wahlergebnis und stellt fest
die Zahl der Wähler,
die Zahlen der gültigen und ungültigen Stimmzettel,
die Zahl der für jeden Wahlvorschlag in seiner Gesamtheit abgegebenen gültigen Stimmen (Listenstimmen),
die Zahl der für jeden Bewerber im Wahlvorschlag abgegebenen gültigen Stimmen (Personenstimmen),
die Zahl der für alle Bewerber eines Wahlvorschlages abgegebenen gültigen Stimmen (Summe der Stimmenzahlen nach Nummer 4) sowie
die Gesamtzahl der für jeden Wahlvorschlag und seine Bewerber abgegebenen gültigen Stimmen (Summe der Stimmenzahlen nach den Nummern 3 und 5).
(2) Im Wahlbereich Bremen beschränken sich die Feststellungen nach Absatz 1 auf die Stimmabgabe der deutschen Wähler (§ 30 Absatz 2a Satz 1 des Bremischen Wahlgesetzes).
(1) Die Tätigkeit des Auszählwahlvorstandes beginnt damit, dass der Auszählwahlvorsteher die anwesenden Beisitzer auf ihre Verpflichtung zur unparteiischen Wahrnehmung ihres Amtes und zur Verschwiegenheit über die ihnen bei ihrer amtlichen Tätigkeit bekannt gewordenen Angelegenheiten hinweist. Er stellt sicher, dass der Hinweis allen Beisitzern vor Aufnahme ihrer Tätigkeit erteilt wird.
(2) Die Gemeindebehörde übergibt dem Auszählwahlvorstand die Wahlunterlagen nach Maßgabe von § 59 Absatz 3.
(3) Der Auszählwahlvorstand prüft durch Nachzählen die Anzahl der ihm zur Auszählung übergebenen Stimmzettel. Ergibt sich dabei auch nach wiederholter Zählung keine Übereinstimmung mit den Feststellungen des Urnenwahlvorstandes, so ist dies in der Wahlniederschrift zu vermerken und, soweit möglich, zu erläutern. Es gilt die Feststellung des Auszählwahlvorstandes.
(1) Die Stimmenauszählung erfolgt unter Einsatz elektronischer Datenverarbeitung. Hierzu bildet der Wahlvorsteher aus den Mitgliedern des Wahlvorstandes mindestens ein Team für die Erfassung der Stimmzettel. Jedes Team besteht aus mindestens drei Personen. Der Wahlvorsteher kann nicht Mitglied eines Zählteams sein. Er überwacht den Auszählvorgang. Er kann ein weiteres Mitglied bestimmen, das ebenfalls den Auszählvorgang überwacht; werden mehr als zwei Zählteams gebildet, hat er eine solche Bestimmung zu treffen. Sofern vorübergehend nicht alle Mitglieder eines Zählteams anwesend sind, ruht die Erfassung in diesem Zählteam bis zur Rückkehr des oder der abwesenden Mitglieder.
(2) Alle Stimmzettel werden bei der Erfassung eindeutig nummeriert. Die Stimmzettel werden nacheinander einzeln unter ihrer in Satz 1 genannten Nummer erfasst. Ein Mitglied des Teams sagt für jeden Stimmzettel laut an, wie viele Stimmen für die jeweiligen Wahlvorschläge oder Bewerber abgegeben worden sind. Diese Ansagen werden von einem weiteren Mitglied des Teams im automatisierten Verfahren eingegeben. Mindestens ein drittes Mitglied überprüft die ordnungsgemäße Erfassung des Stimmzettels. Die Mitglieder des Zählteams sollen sich bei der Wahrnehmung der Aufgaben des Vorlesens und Kontrollierens regelmäßig abwechseln.
(2a) Prüf- und Zählvermerke dürfen auf den Stimmzetteln nur in der Weise angebracht werden, dass sie sich von der Kennzeichnung des Stimmzettels durch den Wähler eindeutig unterscheiden und diese uneingeschränkt erkennbar bleibt. Sie sind außerhalb der Felder für die Wahlvorschläge oder die Stimmabgabe vorzunehmen. Sonstige Änderungen an den Stimmzetteln sind unzulässig.
(3) Stimmzettel, die ungekennzeichnet sind oder mehr als fünf Stimmen enthalten, werden in der elektronischen Datenverarbeitung als ungültige Stimmzettel erfasst. Stimmzettel, die Anlass zu Bedenken hinsichtlich ihrer Gültigkeit oder der Gültigkeit einzelner Stimmen geben, werden zur späteren Beschlussfassung ausgesondert und vom Wahlvorsteher in Verwahrung genommen.
(4) Die Auszählwahlvorstände überprüfen durch Stichprobenkontrollen die korrekte Erfassung und Summierung der Stimmen durch die Software. Art und Umfang der Stichproben sowie ihrer Dokumentation bestimmt der Landeswahlleiter.
(5) Zum Schluss entscheidet der Wahlvorstand über die ausgesonderten Stimmzettel. Der Wahlvorsteher gibt die Entscheidung mündlich bekannt und vermerkt sie auf der Rückseite jedes Stimmzettels. Bei gültigen Stimmzetteln oder Stimmen vermerkt er zudem, für welchen Wahlvorschlag oder Bewerber die Stimmen abgegeben worden sind. Die so getroffenen Entscheidungen werden nach dem Verfahren gemäß Absatz 2 erfasst.
(6) Anstelle des Einsatzes elektronischer Datenverarbeitung können Zähllisten nach dem Muster der Anlage 13 verwendet werden. Die Entscheidung trifft die Gemeindebehörde. Vor der Ansage gemäß Absatz 2 Satz 3 wird der gesamte Stimmzettel durchgesehen und auf seine Gültigkeit geprüft. Im Übrigen gelten Absätze 2 Sätze 3 bis 6, 2a, 3 und 5 entsprechend. Die Gemeindebehörde kann anordnen, dass die Stimmzettel vor der Erfassung nach den gekennzeichneten Wahlvorschlägen sortiert werden.
(7) Der Auszählwahlvorstand fertigt über die Ermittlung und Feststellung des Wahlergebnisses eine Wahlniederschrift nach Maßgabe von § 58 und macht die Feststellung nach Maßgabe des § 57 bekannt. Beantragt ein Mitglied des Wahlvorstandes vor der Unterzeichnung der Wahlniederschrift eine erneute Zählung der Stimmen, so ist diese nach den Absätzen 1 bis 5 zu wiederholen, wenn der Auszählwahlvorstand dies beschließt. Er soll einen entsprechenden Beschluss fassen, wenn Anhaltspunkte dafür vorliegen, dass die Stimmerfassung und Feststellung des Ergebnisses im Wahlbezirk nicht zutreffend erfolgt ist. Die Gründe für die erneute Zählung oder deren Ablehnung sind in der Wahlniederschrift zu vermerken.
(8) Anschließend verpackt der Auszählwahlvorstand die Stimmzettel, die nicht der Niederschrift beigefügten Wahlscheine und die sonstigen Wahlunterlagen und übergibt sie nach Maßgabe von § 59 Absatz 4 Satz 3 bis 6 an die Gemeindebehörde.
(9) Der Auszählwahlvorstand kann in Absprache mit der Gemeindebehörde beschließen, dass die Stimmauszählung unterbrochen und zu einem späteren Zeitpunkt fortgesetzt wird. In diesem Fall gelten Absatz 8 und § 59 Absatz 4 Satz 3 bis 6 entsprechend; bis zur Übergabe an die Gemeindebehörde hat der Auszählwahlvorsteher sicher zu stellen, dass die Unterlagen ununterbrochen von mindestens zwei Mitgliedern des Auszählwahlvorstandes beaufsichtigt werden. Die noch nicht erfassten Stimmzettel sind als separates Paket zu verpacken. Für die Fortsetzung der Auszählung gilt § 59 Absatz 3 entsprechend. Im Hinblick auf die noch nicht erfassten Stimmzettel gilt § 54a Absatz 3 entsprechend. Der Vorgang ist nach Maßgabe von § 58 in der Niederschrift zu vermerken.
(1) Die nach § 50 Absatz 2 zuständige Gemeindebehörde sammelt die Wahlbriefe ungeöffnet und hält sie unter Verschluss. Sie vermerkt auf jedem am Wahltage nach Schluss der Wahlzeit eingegangenen Wahlbrief Tag und Uhrzeit des Eingangs, auf den vom nächsten Tag an eingehenden Wahlbriefen nur den Eingangstag.
verteilt die Wahlbriefe auf die einzelnen Briefwahlvorstände und
übergibt jedem Briefwahlvorsteher das Verzeichnis über die für ungültig erklärten Wahlscheine, die Nachträge dazu oder die Mitteilung, dass keine Wahlscheine für ungültig erklärt worden sind (§ 22 Absatz 8) sowie die in § 37 Nummern 4 bis 8 aufgeführten Unterlagen.
(4) Verspätet eingegangene Wahlbriefe werden von der Gemeindebehörde angenommen, mit den in Absatz 1 vorgeschriebenen Vermerken versehen und ungeöffnet verpackt. Das Paket wird von ihr versiegelt, mit Inhaltsangabe versehen und verwahrt, bis die Vernichtung der Wahlbriefe zugelassen ist (§ 103). Sie hat sicherzustellen, dass das Paket Unbefugten nicht zugänglich ist.
(5) Stellt der Landeswahlleiter fest, dass die regelmäßige Beförderung von Wahlbriefen infolge von Naturkatastrophen oder ähnlichen Ereignissen höherer Gewalt gestört war, gelten die dadurch betroffenen Wahlbriefe, die nach Behebung des Ereignisses, spätestens aber am 22. Tag nach der Wahl bei der zuständigen Stelle (§ 50 Absatz 2) eingehen, als rechtzeitig eingegangen, wenn sie ohne die Störung spätestens am Wahltag bis 18 Uhr eingegangen wären. Dabei gelten abgesandte Wahlbriefe mit einem Poststempel spätestens vom zweiten Tag vor der Wahl als rechtzeitig eingegangen. Die als rechtzeitig eingegangen geltenden Wahlbriefe sind auf schnellstem Wege dem zuständigen Auszählwahlvorstand zur nachträglichen Feststellung des Briefwahlergebnisses zu überweisen, sofern der Wahlbereichsleiter feststellt, dass die nach § 7 Nummer 1 erforderliche Zahl von Wahlbriefen erreicht ist. Wird diese Zahl für einzelne Auszählwahlvorstände unterschritten, bestimmt der Wahlbereichsleiter, welchem Auszählwahlvorstand des Wahlbereichs die durch das Ereignis betroffenen Wahlbriefe überwiesen werden. In den Fällen der Sätze 3 und 4 übernimmt der Auszählwahlvorstand zusätzlich die vorgelagerten Aufgaben des Briefwahlvorstandes gemäß § 55a. Wird die nach § 7 Nummer 1 erforderliche Zahl von Wahlbriefen im Wahlbereich unterschritten, bestimmt der Wahlbereichsleiter, welcher Briefwahlvorstand über die Zulassung oder Zurückweisung der Wahlbriefe entscheidet und welcher Auszählwahlvorstand des Wahlbereichs über die Gültigkeit der abgegebenen Stimmen entscheidet und die nachträgliche Feststellung des Briefwahlergebnisses trifft. Im Übrigen kann der Landeswahlleiter Regelungen zur Anpassung an die besonderen Verhältnisse im Einzelfall treffen.
(1) Die Tätigkeit des Briefwahlvorstandes beginnt damit, dass der Briefwahlvorsteher die anwesenden Beisitzer auf ihre Verpflichtung zur unparteiischen Wahrnehmung ihres Amtes und zur Verschwiegenheit über die ihnen bei ihrer amtlichen Tätigkeit bekannt gewordenen Angelegenheiten hinweist. Er stellt sicher, dass der Hinweis allen Beisitzern vor Aufnahme ihrer Tätigkeit erteilt wird.
(2) Der Briefwahlvorstand ermittelt die Anzahl der Wahlbriefe und vermerkt sie in der Niederschrift gemäß § 58. Ein vom Briefwahlvorsteher bestimmtes Mitglied des Briefwahlvorstandes öffnet die Wahlbriefe nacheinander und entnimmt ihnen den Wahlschein und den Stimmzettelumschlag. Ist der Wahlschein in einem Verzeichnis für ungültig erklärter Wahlscheine aufgeführt oder werden Bedenken gegen die Gültigkeit des Wahlscheines erhoben, so sind die betroffenen Wahlbriefe samt Inhalt unter Kontrolle des Briefwahlvorstehers auszusondern und später entsprechend Absatz 3 zu behandeln. Die aus den übrigen Wahlbriefen entnommenen Stimmzettelumschläge werden ungeöffnet in die Wahlurne geworfen; die Wahlscheine werden gesammelt. Abweichend von Satz 4 kann die Gemeindebehörde zulassen, dass die Stimmzettelumschläge vor dem Einlegen in die Wahlurne geöffnet werden, damit nach Ablauf der Wahlzeit frühzeitig mit der Zählung der Stimmen begonnen werden kann. In diesem Fall dürfen die Stimmzettelumschläge nicht eingesehen und die Stimmzettel nicht entnommen werden.
(3) Werden gegen einen Wahlbrief Bedenken erhoben, so beschließt der Briefwahlvorstand über die Zulassung oder Zurückweisung, Der Wahlbrief ist vom Briefwahlvorstand zurückzuweisen, wenn ein Tatbestand nach § 31 Absatz 4 Satz 1 Nummern 2 bis 8 des Bremischen Wahlgesetzes vorliegt. Die Zahl der beanstandeten, der nach besonderer Beschlussfassung zugelassenen und die Zahl der zurückgewiesenen Wahlbriefe sind in der Wahlniederschrift zu vermerken. Die zurückgewiesenen Wahlbriefe sind samt Inhalt auszusondern, mit einem Vermerk über den Zurückweisungsgrund zu versehen, wieder zu verschließen und fortlaufend zu nummerieren. Die Einsender zurückgewiesener Wahlbriefe werden nicht als Wähler gezählt; ihre Stimmen gelten als nicht abgegeben (§ 31 Absatz 4 Satz 2 des Bremischen Wahlgesetzes).
(4) Nachdem die Stimmzettelumschläge den Wahlbriefen entnommen und in die Wahlurne geworfen worden sind, jedoch nicht vor Schluss der allgemeinen Wahlzeit, ermittelt der Briefwahlvorstand die Zahl der Wähler. Dazu zählt er die Stimmzettelumschläge sowie die Wahlscheine. Ergibt sich dabei auch nach wiederholter Zählung keine Übereinstimmung, so ist dies in der Wahlniederschrift zu vermerken und, soweit möglich, zu erläutern.
(5) Der Briefwahlvorstand fertigt über die Zulassung der Wahlbriefe und seine Feststellungen eine Niederschrift nach Maßgabe von § 58.
(6) Anschließend verpackt er die Stimmzettelumschläge und die restlichen Wahlscheine und übergibt sie der Gemeindebehörde nach Maßgabe von § 59 Absatz 2 und 2a.
(7) Im Übrigen gelten für die Tätigkeit des Briefwahlvorstandes die für den Urnenwahlvorstand geltenden Bestimmungen entsprechend.
(1) Für die Ermittlung und Feststellung des Ergebnisses der Briefwahlbezirke und das Verfahren in den Auszählwahlvorständen gelten die §§ 53 bis 54b mit den nachfolgenden Maßgaben.
(2) Der Auszählwahlvorstand überprüft durch Nachzählen die Anzahl der ihm zur Auszählung übergebenen Stimmzettelumschläge und eingenommenen Wahlscheine. Ergibt sich dabei auch nach wiederholter Zählung keine Übereinstimmung mit den Feststellungen des Briefwahlvorstandes, so ist dies in der Wahlniederschrift zu vermerken und, soweit möglich, zu erläutern. Es gilt die Feststellung des Auszählwahlvorstandes. Eine Überprüfung nach den Sätzen 1 bis 3 ist nicht erforderlich, wenn der Auszählwahlvorstand personenidentisch mit dem Briefwahlvorstand ist und die Auszählung unmittelbar im Anschluss an die Tätigkeit des Briefwahlvorstandes erfolgt.
(3) Mindestens ein Beisitzer entnimmt die Stimmzettel den Stimmzettelumschlägen. Leere Stimmzettelumschläge werden ausgesondert und vom Auszählwahlvorsteher in Verwahrung genommen. Des Weiteren werden die Stimmzettelumschläge, die mehrere Stimmzettel enthalten oder sonst Anlass zu Bedenken geben, zur späteren Beschlussfassung ausgesondert und vom Auszählwahlvorsteher in Verwahrung genommen.
(4) Der Auszählwahlvorsteher prüft die gemäß Absatz 3 Satz 2 in Verwahrung genommenen Stimmzettelumschläge und sagt jeweils an, dass die Stimmzettel ungültig sind. Das Ergebnis ist durch ein Zählteam zu erfassen.
(5) Zum Schluss entscheidet der Auszählwahlvorstand über die gemäß Absatz 3 Satz 3 ausgesonderten Stimmzettelumschläge und Stimmzettel. Der Auszählwahlvorsteher gibt die Entscheidung bekannt und vermerkt sie auf der Rückseite jedes Stimmzettelumschlages oder Stimmzettels. Bei gültigen Stimmzetteln oder Stimmen vermerkt er zudem, für welchen Wahlvorschlag oder Bewerber die Stimmen abgegeben worden sind. Die so getroffenen Entscheidungen werden nach dem Verfahren gemäß § 54b Absatz 2 erfasst.
(6) Der Auszählwahlvorstand für die Briefwahl fertigt über die Ermittlung und Feststellung des Briefwahlergebnisses eine Niederschrift nach Maßgabe von § 58.
(7) Das Wahlergebnis der Briefwahl ist vom Wahlbereichsleiter in die Ermittlung des vorläufigen Wahlergebnisses, in die Schnellmeldung an den Landeswahlleiter nach § 57a und in die Zusammenstellung des endgültigen Wahlergebnisses des Wahlbereichs nach § 60 zu übernehmen.
(1) Die Gemeindebehörde übergibt dem besonderen Auszählwahlvorstand nach § 8 Absatz 4 die Ergänzungen zur Wahlniederschrift für Unionsbürger (Anlagen 19 a und 19 b) aus allen Urnen- und Briefwahlbezirken nebst zugehörigen Paketen mit den grünen Stimmzetteln und Stimmzettelumschlägen sowie den Vordruck der Niederschrift über die Ermittlung und Feststellung des Ergebnisses der Unionsbürger im Wahlbereich Bremen (Anlage 19 c).
(1a) Für die Ermittlung und Feststellung des Wahlergebnisses der Unionsbürger und das Verfahren in dem besonderen Auszählwahlvorstand gelten die §§ 53 bis 54b und § 55b mit den nachfolgenden Maßgaben.
(2) Ein vom Auszählwahlvorsteher bestimmtes Mitglied des Auszählwahlvorstandes öffnet die versiegelten Pakete nacheinander, entnimmt ihnen die grünen Stimmzettel in gefaltetem Zustand und die Stimmzettelumschläge und zählt sie. Ergibt sich dabei auch nach wiederholter Zählung keine Übereinstimmung mit der in der betreffenden Ergänzung zur Wahlniederschrift (Unionsbürger) angegebenen Zahl der grünen Stimmzettel und Stimmzettelumschläge, so ist dies in der Wahlniederschrift zu vermerken und, soweit möglich, zu erläutern. In diesem Fall gilt die Feststellung des besonderen Auszählwahlvorstandes. Die aus den Paketen entnommenen grünen Stimmzettel und Stimmzettelumschläge werden in die Wahlurne geworfen.
(3) Nachdem alle grünen Stimmzettel und Stimmzettelumschläge in die Wahlurne geworfen worden sind, ermittelt der Auszählwahlvorstand das Wahlergebnis der Unionsbürger und stellt es mit den in § 54 Absatz 1 bezeichneten Angaben fest.
(4) Über die Ermittlung und Feststellung des Wahlergebnisses der Unionsbürger ist vom Schriftführer eine Niederschrift nach Maßgabe von § 58 zu fertigen.
Im Anschluss an die Feststellungen nach § 54 gibt der Auszählwahlvorsteher das Wahlergebnis im Wahlbezirk mit den in dieser Vorschrift bezeichneten Angaben in geeigneter Weise bekannt. Es darf vor Unterzeichnung der Wahlniederschrift (§ 58 Absatz 1 Satz 2) anderen als den in §§ 57a genannten Stellen durch die Mitglieder des Auszählwahlvorstandes nicht mitgeteilt werden. Satz 2 steht einer Übermittlung von Zwischenständen zum Zwecke statistischer Hochrechnungen oder für Stichproben nicht entgegen.
(1) Sobald das Wahlergebnis im Wahlbezirk festgestellt ist, meldet es der Auszählwahlvorsteher dem Wahlbereichsleiter.
(2) Die Meldung wird auf schnellstem Wege (beispielsweise telefonisch oder auf anderem elektronischen Wege) erstattet. Sie enthält die in § 54 Absatz 1 genannten Angaben.
(3) Der Wahlbereichsleiter ermittelt nach den Schnellmeldungen das vorläufige Wahlergebnis im Wahlbereich. Er teilt es unter Einbeziehung der Ergebnisse der Briefwahl mit den in Absatz 2 genannten Angaben auf schnellstem Wege dem Landeswahlleiter mit; dabei gibt er an, welche Bewerber als gewählt gelten können.
(4) Der Landeswahlleiter ermittelt nach den Schnellmeldungen der Wahlbereichsleiter das vorläufige Wahlergebnis im Land.
(5) Die Wahlleiter geben nach Durchführung der ohne Vorliegen der Wahlniederschriften möglichen Überprüfungen die vorläufigen Wahlergebnisse mündlich oder in geeigneter anderer Form bekannt.
(6) Bei Auszählung mit Hilfe von Zähllisten werden die Schnellmeldungen der Auszählwahlvorsteher nach dem Muster der Anlage 14 erstattet.
(7) Im Wahlbereich Bremen beschränken sich die Schnellmeldungen auf das Wahlergebnis der deutschen Wähler.
(1) Über die Wahlhandlung, die Zulassung der Wahlbriefe sowie die Ermittlung und Feststellung des Wahlergebnisses ist je Wahlbezirk vom Schriftführer eine Niederschrift zu fertigen. Die Niederschrift ist von den Mitgliedern des Wahlvorstandes zu genehmigen und zu unterzeichnen. Der zweite Teil der Niederschrift, der die Übergabe nach § 59 Absatz 1 bis 3 und Absatz 4 Satz 1 und 2 betrifft, ist von den daran beteiligten Mitgliedern des Wahlvorstandes sowie den beteiligten Mitarbeitern der Gemeindebehörde zu unterzeichnen. Verweigert eine Person die Unterzeichnung, so ist der Grund hierfür in der Wahlniederschrift zu vermerken.
(2) Die Niederschrift gliedert sich in drei Teile und wird nach dem Muster der Anlagen 16a bis 16c, im Wahlbereich Bremen zusätzlich nach dem Muster der Anlagen 19 a bis 19 c, erstellt. Der erste Teil umfasst bei der Urnenwahl die Wahlhandlung und die Zählung der Wähler durch den Urnenwahlvorstand; bei der Briefwahl die Zulassung der Wahlbriefe sowie die Zählung der Wähler. Der zweite Teil der Niederschrift umfasst die Übergabe der Wahlunterlagen vom Urnen-, Briefwahl- oder Auszählwahlvorstand an die Gemeindebehörde und von dieser an den Auszählwahlvorstand. Der dritte Teil der Niederschrift umfasst die Feststellungen des Auszählwahlvorstandes nach Maßgabe der §§ 54 bis 54b, 55b und 56 und die Übergabe der Wahlunterlagen vom Auszählwahlvorstand an die Gemeindebehörde. Der Landeswahlleiter bestimmt rechtzeitig vor der Wahl, welche Anpassungen in dem Muster der Niederschrift bei einer Auszählung unter Verwendung von Zähllisten vorzunehmen sind. Beschlüsse nach § 44 Absatz 6 und 7, § 46 Absatz 1 Satz 4, § 54b Absatz 9 sowie Beschlüsse über Anstände bei der Wahlhandlung, der Zulassung der Wahlbriefe oder der Ermittlung und Feststellung des Wahlergebnisses sind in der Wahlniederschrift zu vermerken.
(2a) Im Falle einer Unterbrechung der Stimmerfassung gemäß § 54b Absatz 9 ist der dritte Teil der Niederschrift soweit möglich fertig zu stellen. In einer Anlage zur Niederschrift sind die Gründe für die Unterbrechung zu vermerken, die Anzahl der noch nicht erfassten Stimmzettel anzugeben und die Übergabe der Unterlagen zu protokollieren.
(3) Der Schriftführer des Urnenwahlvorstandes fügt der Niederschrift die eingenommenen Wahlscheine bei.
(4) Der Schriftführer des Briefwahlvorstandes fügt der Niederschrift bei:
die Wahlbriefe, die der Briefwahlvorstand zurückgewiesen hat,
die Wahlscheine, über die der Briefwahlvorstand beschlossen hat, ohne dass die Wahlbriefe zurückgewiesen wurden.
(5) Der Schriftführer des Auszählwahlvorstandes fügt der Niederschrift zusätzlich bei:
die Stimmzettel, über die der Auszählwahlvorstand nach § 54b Absatz 5 oder § 55b Absatz 5 besonders beschlossen hat,
bei Auszählung von Briefwahlbezirken ferner die Stimmzettelumschläge, über die der Auszählwahlvorstand nach § 55b Absatz 5 besonders beschlossen hat.
(6) Über die Ermittlung und Feststellung des Wahlergebnisses der Unionsbürger ist eine Niederschrift nach dem Muster der Anlage 19 c zu fertigen. Absatz 5 gilt entsprechend.
(7) Der Auszählwahlvorsteher hat die Wahlniederschrift mit den Anlagen unverzüglich der Gemeindebehörde zu übergeben. Die Gemeindebehörde übersendet dem Wahlbereichsleiter die Wahlniederschriften ihrer Wahlvorstände mit den Anlagen.
(8) Auszählwahlvorsteher, Gemeindebehörde und Wahlbereichsleiter haben sicherzustellen, dass die Wahlniederschriften mit den Anlagen Unbefugten nicht zugänglich sind.
(9) Die Gemeindebehörde kann mit Genehmigung des Landeswahlleiters Vordrucke für die Niederschriften verwenden, die in einzelnen Punkten von den Mustern der Anlagen abweichen.
(1) Der Urnenwahlvorstand verpackt je für sich
die gezählten weißen Stimmzettel gebündelt,
im Wahlbereich Bremen die gezählten grünen Stimmzettel der Unionsbürger gebündelt,
versiegelt die einzelnen Pakete und versieht sie mit Inhaltsangabe; der Urnenwahlvorsteher übergibt sie der Gemeindebehörde. Er übergibt der Gemeindebehörde auch die ihm nach § 37 zur Verfügung gestellten Unterlagen und Ausstattungsgegenstände sowie die eingenommenen Wahlbenachrichtigungen und die Wahlniederschrift. Die Übergabe ist nach Maßgabe von § 58 zu protokollieren. Bis zur Übergabe an die Gemeindebehörde hat der Urnenwahlvorsteher sicherzustellen, dass die in Satz 1 und 2 genannten Unterlagen Unbefugten nicht zugänglich sind und ununterbrochen von mindestens zwei Mitgliedern des Urnenwahlvorstandes beaufsichtigt werden.
(2) Der Briefwahlvorstand verpackt je für sich
die gezählten blauen Stimmzettelumschläge gebündelt,
im Wahlbereich Bremen die gezählten grünen Stimmzettelumschläge der Unionsbürger gebündelt,
die eingenommenen Wahlscheine, soweit sie nicht der Wahlniederschrift beigefügt sind,
versiegelt die einzelnen Pakete und versieht sie mit Inhaltsangabe; der Briefwahlvorsteher übergibt sie der Gemeindebehörde. Er übergibt ihr auch die sonstigen ihm nach § 55 Absatz 3 Nummer 2 zur Verfügung gestellten Unterlagen und Ausstattungsgegenstände sowie die Wahlniederschrift. Die Übergabe ist nach Maßgabe von § 58 zu protokollieren. Bis zur Übergabe an die Gemeindebehörde hat der Briefwahlvorsteher sicherzustellen, dass die in Satz 1 und 2 genannten Unterlagen Unbefugten nicht zugänglich sind und ununterbrochen von mindestens zwei Mitgliedern des Briefwahlvorstandes beaufsichtigt werden.
(2a) Sofern der Auszählwahlvorstand für die Briefwahl aus denselben Mitgliedern wie der Briefwahlvorstand besteht und der Briefwahlbezirk noch am selben Tag ausgezählt wird, ist Absatz 2 nicht anzuwenden. Sofern nicht sofort mit der Auszählung begonnen wird, sind alle Stimmzettelumschläge und separat verpackt die in § 55 Absatz 3 Nummer 2 genannten Unterlagen und Ausstattungsgegenstände zunächst wieder in die Wahlurne zu legen; anschließend ist diese bis zum Beginn der Auszählung zu verschließen und sicher zu verwahren. Der Auszählwahlvorsteher übergibt der Gemeindebehörde nach Abschluss der Auszählung auch die in § 55 Absatz 3 Nummer 2 genannten Unterlagen und Ausstattungsgegenstände.
(3) Die Gemeindebehörde nimmt die in Absatz 1 und 2 genannten Unterlagen in Verwahrung, überprüft Verschluss und Siegel und übergibt die Unterlagen nach Maßgabe von § 53 an den Auszählwahlvorsteher. Sie stellt sicher, dass die Wahlunterlagen Unbefugten nicht zugänglich sind und bis zur Übergabe an den Auszählwahlvorsteher ununterbrochen von mindestens zwei von ihr beauftragten Personen beaufsichtigt werden. Einzelheiten hierzu können vom Landeswahlleiter festgelegt werden. Die Übergabe ist nach Maßgabe von § 58 zu protokollieren. Die Gemeindebehörde kann bei der Übergabe und Verwahrung eigene Bedienstete einsetzen oder Dritte beauftragen. Als Dritte im Sinne von Satz 5 gelten auch Bedienstete anderer Behörden, die im Wege der Amtshilfe oder aufgrund sonstiger Vereinbarungen mit den betreffenden Behörden bei der Übergabe und Verwahrung oder zu deren Sicherung eingesetzt werden.
(4) Der Auszählwahlvorsteher überprüft bei der Übernahme der Unterlagen von der Gemeindebehörde Verschluss und Siegel. Etwaige Anstände sind im Protokoll zu vermerken. Nach Abschluss der Auszählung verpackt der Auszählwahlvorstand je für sich
die Stimmzettel, fortlaufend nach Nummern sortiert und gebündelt,
die Wahlscheine,
bei der Auszählung von Briefwahlbezirken auch die leer abgegebenen Stimmzettelumschläge gebündelt,
soweit sie nicht der Wahlniederschrift beigefügt sind, versiegelt die einzelnen Pakete und versieht sie mit Inhaltsangabe; der Auszählwahlvorsteher übergibt sie der Gemeindebehörde. Er übergibt der Gemeindebehörde auch die ihm nach § 53 zur Verfügung gestellten Unterlagen und Ausstattungsgegenstände sowie die eingenommenen Wahlbenachrichtigungen und die Wahlniederschrift. Die Übergabe ist nach Maßgabe von § 58 zu protokollieren. Bis zur Übergabe an die Gemeindebehörde hat der Auszählwahlvorsteher sicherzustellen, dass die in Satz 3 und 4 genannten Unterlagen Unbefugten nicht zugänglich sind.
(5) Sofern die Auszählung in denselben Räumlichkeiten erfolgt wie die Wahlhandlung, kann die Gemeindebehörde vor der Wahl bestimmen, dass die Unterlagen unmittelbar vom Urnenwahlvorsteher an den Auszählwahlvorsteher übergeben werden. Die Gemeindebehörde legt für diesen Fall die Modalitäten der Übergabe so fest, dass gewährleistet ist, dass die Unterlagen Unbefugten nicht zugänglich sind und sie ununterbrochen von mindestens zwei Mitgliedern eines Wahlvorstandes beaufsichtigt werden. Die Übergabe ist nach Maßgabe von § 58 zu protokollieren.
(6) Nach Feststellung des Wahlergebnisses hat die Gemeindebehörde die Pakete zu verwahren, bis die Vernichtung der Wahlunterlagen zugelassen ist (§ 103). Sie hat sicherzustellen, dass die Pakete Unbefugten nicht zugänglich sind.
(7) Die Gemeindebehörde hat die eingenommenen Stimmzettel, Wahlscheine und Stimmzettelumschläge auf Anforderung dem Wahlbereichsleiter vorzulegen. Werden nur Teile eines Pakets angefordert, so bricht die Gemeindebehörde das Paket in Gegenwart von zwei Zeugen auf, entnimmt ihm den angeforderten Teil und versiegelt das Paket erneut. Über den Vorgang ist eine Niederschrift zu fertigen, die von allen Beteiligten zu unterzeichnen ist.
(1) Der Wahlbereichsleiter prüft die Wahlniederschriften der Wahlvorstände auf Vollständigkeit und Ordnungsmäßigkeit. Er stellt nach den Wahlniederschriften das endgültige Ergebnis der Wahl im Wahlbereich nach Wahlvorschlägen und Wahlbewerbern wahlbezirksweise und nach Briefwahlvorständen geordnet nach dem Muster der Anlage 18 zusammen. Dabei soll der Wahlbereichsleiter für die Ortsteile, Stadtteile und Stadtbezirke Zwischensummen bilden, soweit möglich auch für die Briefwahlergebnisse. Ergeben sich aus der Wahlniederschrift oder aus sonstigen Gründen Bedenken gegen die Ordnungsmäßigkeit des Wahlgeschäfts, so klärt sie der Wahlbereichsleiter soweit wie möglich auf.
(2) Nach Berichterstattung durch den Wahlbereichsleiter ermittelt der Wahlbereichsausschuss das Wahlergebnis im Wahlbereich. Er stellt fest
die Zahl der Wahlberechtigten,
die Zahl der Wähler,
die Zahlen der gültigen und ungültigen Stimmzettel,
die Zahl der gültigen Stimmen,
die Zahl der für jeden Bewerber im Wahlvorschlag abgegebenen gültigen Stimmen (Personenstimmen),
die Zahl der auf jeden Wahlvorschlag in seiner Gesamtheit abgegebenen gültigen Stimmen (Listenstimmen),
die Zahl der für alle Bewerber eines Wahlvorschlages abgegebenen Stimmen (Summe der Stimmenzahlen nach Nummer 4),
die Gesamtzahl der für jeden Wahlvorschlag und seine Bewerber abgegebenen Stimmen (Summe der Stimmenzahlen nach den Nummern 5 und 6),
welche Wahlvorschläge nach § 7 Absatz 7 des Bremischen Wahlgesetzes
an der Verteilung der Sitze teilnehmen,
bei der Verteilung der Sitze unberücksichtigt bleiben,
die Zahl der Sitze, die auf die einzelnen zu berücksichtigenden Wahlvorschläge entfallen; für jeden Wahlvorschlag ist anzugeben, wie viele Sitze nach Personen- und wie viele Sitze nach Listenwahl zu verteilen sind und
welche Bewerber gewählt sind.
Der Wahlbereichsausschuss ist berechtigt, Feststellungen des Wahlvorstandes zu berichtigen und dabei auch über die Gültigkeit abgegebener Stimmen und Stimmzettel abweichend zu beschließen. Ungeklärte Bedenken vermerkt er in der Niederschrift.
(3) Im Anschluss an die Feststellung gibt der Wahlbereichsleiter das Wahlergebnis mit den in Absatz 2 Satz 2 bezeichneten Angaben in geeigneter Weise bekannt.
(4) Die nach dem Muster der Anlage 20 zu fertigende Niederschrift über die Sitzung (§ 5 Absatz 7) und die ihr beigefügte Zusammenstellung des Wahlergebnisses nach dem Muster der Anlage 18 sind von allen Mitgliedern des Wahlbereichsausschusses, die an der Verhandlung teilgenommen haben, und von dem Schriftführer zu unterzeichnen. Der Wahlbereichsleiter kann mit Genehmigung des Landeswahlleiters Vordrucke für die Niederschrift verwenden, die in einzelnen Punkten von dem Muster der Anlage 20 abweichen.
(5) Der Wahlbereichsleiter übersendet dem Landeswahlleiter auf schnellstem Wege eine Ausfertigung der Niederschrift des Wahlbereichsausschusses mit der dazugehörigen Zusammenstellung.
(1) Der Wahlbereichsleiter Bremen prüft die Wahlniederschrift des besonderen Auszählwahlvorstandes nach § 58 Absatz 6 auf Vollständigkeit und Ordnungsmäßigkeit. Er stellt nach dieser Wahlniederschrift und dem Ergebnis der Wahl im Wahlbereich Bremen (§ 60 Absatz 2) das endgültige Ergebnis der Wahl zur Stadtbürgerschaft nach Wahlvorschlägen und Wahlbewerbern geordnet zusammen. Ergeben sich aus der Wahlniederschrift oder aus sonstigen Gründen Bedenken gegen die Ordnungsmäßigkeit des Wahlgeschäfts, so klärt sie der Wahlbereichsleiter soweit wie möglich auf.
(2) Nach Berichterstattung durch den Wahlbereichsleiter ermittelt der Wahlbereichsausschuss Bremen das Wahlergebnis zur Stadtbürgerschaft. Er stellt fest
die Zahl der Wahlberechtigten,
die Zahl der Wähler,
die Zahlen der gültigen und ungültigen Stimmzettel,
die Zahl der gültigen Stimmen,
die Zahl der für jeden Bewerber im Wahlvorschlag abgegebenen gültigen Stimmen (Personenstimmen),
die Zahl der auf jeden Wahlvorschlag in seiner Gesamtheit abgegebenen gültigen Stimmen (Listenstimmen),
die Zahl der für alle Bewerber eines Wahlvorschlages abgegebenen Stimmen (Summe der Stimmenzahlen nach Nummer 4),
die Gesamtzahl der für jeden Wahlvorschlag und seine Bewerber abgegebenen Stimmen (Summe der Stimmenzahlen nach den Nummern 5 und 6),
welche Wahlvorschläge nach § 7 Absatz 7 des Bremischen Wahlgesetzes
an der Verteilung der Sitze teilnehmen,
bei der Verteilung der Sitze unberücksichtigt bleiben,
die Zahl der Sitze, die auf die einzelnen zu berücksichtigenden Wahlvorschläge entfallen; für jeden Wahlvorschlag ist anzugeben, wie viele Sitze nach Personen- und wie viele Sitze nach Listenwahl zu verteilen sind und
welche Bewerber abweichend von § 60 Absatz 2 Satz 2 Nummer 10 in die Stadtbürgerschaft gewählt sind.
Der Wahlbereichsausschuss Bremen ist berechtigt, Feststellungen des Wahlvorstandes zu berichtigen und dabei auch über die Gültigkeit abgegebener Stimmen und Stimmzettel abweichend zu beschließen. Ungeklärte Bedenken vermerkt er in der Niederschrift.
(3) Im Anschluss an die Feststellung gibt der Wahlbereichsleiter das Wahlergebnis zur Stadtbürgerschaft mit den in Absatz 2 Satz 2 bezeichneten Angaben in geeigneter Weise bekannt.
(4) Die nach dem Muster der Anlage 20 zu fertigende Niederschrift über die Sitzung (§ 5 Absatz 7) und die ihr beigefügte Zusammenstellung des Wahlergebnisses zur Stadtbürgerschaft nach Absatz 2 Satz 2 sind von allen Mitgliedern des Wahlbereichsausschusses Bremen, die an der Verhandlung teilgenommen haben, und von dem Schriftführer zu unterzeichnen.
(5) Der Wahlbereichsleiter übersendet dem Landeswahlleiter auf schnellstem Wege eine Ausfertigung der Niederschrift des Wahlbereichsausschusses Bremen mit der dazugehörigen Zusammenstellung.
(1) Der Landeswahlleiter prüft die Wahlniederschriften der Wahlbereichsausschüsse und stellt danach die endgültigen Wahlergebnisse in den beiden Wahlbereichen (§ 60 Absatz 2 Nummern 1 bis 7) nach dem Muster der Anlage 18 zum Wahlergebnis des Landes zusammen.
(2) Nach Berichterstattung durch den Landeswahlleiter ermittelt der Landeswahlausschuss das Wahlergebnis im Land. Er stellt fest
die Zahl der Wahlberechtigten,
die Zahl der Wähler,
die Zahlen der gültigen und ungültigen Stimmzettel,
die Zahl der gültigen Stimmen,
die Zahl der für jeden Bewerber im Wahlvorschlag abgegebenen gültigen Stimmen (Personenstimmen),
die Zahl der auf jeden Wahlvorschlag in seiner Gesamtheit abgegebenen gültigen Stimmen (Listenstimmen),
die Zahl der für alle Bewerber eines Wahlvorschlages abgegebenen Stimmen (Summe der Stimmenzahlen nach Nummer 4),
die Gesamtzahl der für jeden Wahlvorschlag und seine Bewerber abgegebenen Stimmen (Summe der Stimmenzahlen nach den Nummern 5 und 6),
welche Wahlvorschläge nach § 7 Absatz 7 des Bremischen Wahlgesetzes
an der Verteilung der Sitze in den Wahlbereichen teilnehmen,
bei der Verteilung der Sitze in den Wahlbereichen unberücksichtigt bleiben,
die Zahl der Sitze, die in den Wahlbereichen und im Land auf die einzelnen zu berücksichtigenden Wahlvorschläge entfallen; für jeden Wahlvorschlag ist anzugeben, wie viele Sitze nach Personen- und wie viele Sitze nach Listenwahl zu verteilen sind und
welche Bewerber gewählt sind.
Der Landeswahlausschuss ist berechtigt, rechnerische Berichtigungen an den Feststellungen der Wahlbereichsausschüsse vorzunehmen.
(4) Die Niederschrift über die Sitzung (§ 5 Absatz 7) und die ihr beigefügte Zusammenstellung des Wahlergebnisses nach dem Muster der Anlage 18 sind von allen Mitgliedern des Landeswahlausschusses, die an der Verhandlung teilgenommen haben, und von dem Schriftführer zu unterzeichnen,
(5) Der Landeswahlleiter macht das endgültige Wahlergebnis mit den in Absatz 2 Satz 2 Nummern 1 bis 9 und § 60 Absatz 2 Satz 2 Nummern 1 bis 7 bezeichneten Angaben sowie den Namen der gewählten Bewerber (Absatz 2 Satz 2 Nummer 10) öffentlich bekannt.
(6) Der Landeswahlleiter macht zugleich das endgültige Wahlergebnis zur Stadtbürgerschaft mit den in § 60a Absatz 2 Satz 2 Nummern 1 bis 9 bezeichneten Angaben sowie den Namen der abweichend von Absatz 2 Satz 2 Nr. 10 in die Stadtbürgerschaft gewählten Bewerber (§ 60a Absatz 2 Satz 2 Nummer 10) öffentlich bekannt.
(1) Der Landeswahlleiter benachrichtigt vorbehaltlich des Absatzes 2 die gewählten Bewerber nach der mündlichen Bekanntgabe des endgültigen Wahlergebnisses mittels Zustellung (§ 101) und weist sie auf die Vorschriften des § 33 Bremischen Wahlgesetzes hin. Er teilt dem Präsidenten der Bürgerschaft sofort nach Ablauf der Frist des § 30 Abs. 5 Bremischen Wahlgesetzes mit, an welchen Tagen die Annahmeerklärungen der gewählten Bewerber eingegangen sind sowie deren Familienname, Vornamen und Anschrift (Hauptwohnung) und welche Bewerber die Wahl abgelehnt haben. Im Falle des § 33 Abs. 1 Satz 2 Bremischen Wahlgesetzes teilt er mit, an welchen Tagen die Benachrichtigungen zugestellt worden sind.
(2) Ein gewählter Bewerber, der als Mitglied des Senats nach Artikel 108 der Landesverfassung gehindert ist, in die Bürgerschaft einzutreten, erhält keine Aufforderung zur Annahme der Wahl nach § 30 Absatz 5 des Bremischen Wahlgesetzes. An seine Stelle tritt der nächste zu berücksichtigende Bewerber des Wahlvorschlages, aufgrund dessen das Mitglied des Senats gewählt ist. Für die Berufung gilt § 66 entsprechend, Der Landeswahlleiter macht öffentlich bekannt, welcher Bewerber nach Satz 2 in die Bürgerschaft eingetreten ist.
(1) Der Landeswahlleiter prüft, ob die Wahl nach den Vorschriften des Gesetzes und dieser Verordnung durchgeführt worden ist. Nach dem Ergebnis seiner Prüfung entscheidet er, ob Einspruch gegen die Wahl einzulegen ist (§ 38 Abs. 1 Satz 2 Bremischen Wahlgesetzes).
(2) Auf Anforderung haben die Wahlbereichsleiter dem Landeswahlleiter die bei ihnen und den Gemeindebehörden vorhandenen Wahlunterlagen zu übersenden.
(1) Sobald feststeht, daß die Wahl infolge höherer Gewalt oder aus sonstigem Grunde nicht durchgeführt werden kann, sagt der Wahlbereichsleiter die Wahl ab und macht öffentlich bekannt, daß eine Nachwahl stattfinden wird. Er unterrichtet unverzüglich den Landeswahlleiter.
(2) Bei der Nachwahl wird mit den für die Hauptwahl aufgestellten Wählerverzeichnissen, nach den für die Hauptwahl zugelassenen Wahlvorschlägen, in den für die Hauptwahl bestimmten Wahlbezirken und Wahlräumen sowie vor den für die Hauptwahl gebildeten Wahlvorständen gewählt.
(3) Bei der Nachwahl behalten die für die Hauptwahl erteilten Wahlscheine Gültigkeit. Neue Wahlscheine dürfen nur für das Gebiet erteilt werden, in dem die Nachwahl stattfindet.
(4) Der Landeswahlleiter kann im Einzelfall Regelungen zur Anpassung an besondere Verhältnisse treffen.
(5) Der Landeswahlleiter macht den Tag der Nachwahl öffentlich bekannt.
(1) Das Wahlverfahren ist nur insoweit zu erneuern, als das nach der Entscheidung im Wahlprüfungsverfahren erforderlich ist.
(2) Wird die Wahl nur in einzelnen Wahlbezirken wiederholt, so darf die Abgrenzung dieser Wahlbezirke nicht geändert werden. Auch sonst soll die Wahl möglichst in denselben Wahlbezirken wie bei der Hauptwahl wiederholt werden. Wahlvorstände können neu gebildet und Wahlräume neu bestimmt werden.
(3) Findet die Wiederholungswahl infolge von Unregelmäßigkeiten bei der Aufstellung und Behandlung von Wählerverzeichnissen statt, so ist in den betroffenen Wahlbezirken das Verfahren der Aufstellung, Einsichtnahme, Berichtigung und des Abschlusses des Wählerverzeichnisses neu durchzuführen, sofern sich aus der Wahlprüfungsentscheidung keine Einschränkungen ergeben.
(4) Wähler, die seit der Hauptwahl ihr Wahlrecht verloren haben, sind im Wählerverzeichnis zu streichen. Wird die Wahl vor Ablauf von sechs Monaten nach der Hauptwahl nur in einzelnen Wahlbezirken wiederholt, so erhalten Personen, die bei der Hauptwahl in diesen Wahlbezirken mit Wahlschein gewählt haben, auf Antrag ihren Wahlschein mit Gültigkeitsvermerk für die Wiederholungswahl zurück, wenn sie inzwischen aus dem Gebiet der Wiederholungswahl verzogen sind. § 64 Abs. 3 Satz 2 gilt entsprechend.
(5) Wahlvorschläge können nur geändert werden, wenn sich dies aus der Wahlprüfungsentscheidung ergibt oder wenn ein Bewerber gestorben oder nicht mehr wählbar ist.
(6) Der Landeswahlleiter kann im Rahmen der Wahlprüfungsentscheidung Regelungen zur Anpassung des Wiederholungswahlverfahrens an besondere Verhältnisse treffen.
Der Landeswahlleiter teilt dem Präsidenten der Bürgerschaft Familienname, Vornamen und Anschrift (Hauptwohnung) des Listennachfolgers sowie den Tag, an dem seine Annahmeerklärung eingegangen ist, sofort mit. Im Falle des § 33 Abs. 1 Satz 2 Bremischen Wahlgesetzes teilt er mit, an welchem Tag die Benachrichtigung zugestellt worden ist und wann der Listennachfolger die Mitgliedschaft in der Bürgerschaft erwirbt.
(1) Auf die Wahl zur Stadtverordnetenversammlung der Stadt Bremerhaven finden die Vorschriften des Ersten Teils dieser Verordnung nach Maßgabe der Absätze 2 und 3 entsprechende Anwendung, soweit nicht in den §§ 68 bis 77a etwas anderes bestimmt ist.
| 1. des Gebietes der Freien Hansestadt Bremen und der Wahlbereiche | das Gebiet der Stadt Bremerhaven; |
| 2. der Bürgerschaft | die Stadtverordnetenversammlung, ausgenommen in § 9; |
| 3. des Präsidenten der Bürgerschaft | der Stadtverordnetenvorsteher; |
| 4. des Senats | der Magistrat, ausgenommen in § 9; |
| 5. des Landeswahlleiters | der Stadtwahlleiter, ausgenommen in §§ 3, 4, 27, 29 Absatz 1, § 30 Absatz 7, §§ 31, 33 Absatz 1 Satz 4, §§ 52, 54b Absatz 4, § 58 Absatz 2 Satz 5, § 60 Absatz 5, §§ 64 und 65 Absatz 6; |
| 6. des Wahlbereichsleiters und des Wahlbereichsausschusses | der Stadtwahlleiter und der Stadtwahlausschuß. |
(3) § 57a Absatz 3 Satz 2 und Absatz 4, § 60 Absatz 2 Satz 2 Nummer 8 sowie § 61 Absatz 1 bis 4 finden keine Anwendung.
(1) Der Stadtwahlleiter und sein Stellvertreter werden auf unbestimmte Zeit ernannt. Als Stadtwahlleiter kann nur der Wahlbereichsleiter für die Wahl zur Bürgerschaft im Wahlbereich Bremerhaven ernannt werden. Entsprechendes gilt für seinen Stellvertreter. Der Magistrat macht ihre Namen und die Anschriften ihrer Dienststellen mit Telekommunikationsanschlüssen öffentlich bekannt.
(2) Die Beisitzer des Wahlbereichsausschusses für den Wahlbereich Bremerhaven können gleichzeitig dem Stadtwahlausschuß angehören.
(3) Die Wahlbezirke und Wahlräume müssen für die verbundenen Wahlen zur Bürgerschaft und zur Stadtverordnetenversammlung dieselben sein.
(4) Die Wahlvorstände sind für jede Wahl gesondert zu berufen. Die Mitglieder des Wahlvorstandes zur Bürgerschaftswahl können gleichzeitig dem Wahlvorstand zur Wahl der Stadtverordnetenversammlung angehören.
(5) Die Entschädigung nach § 10 wird bei verbundenen Wahlen nur einmal gezahlt.
(1) Aufgestellt, zur Einsichtnahme bereit gehalten und benutzt wird für beide Wahlen ein gemeinsames Wählerverzeichnis.
(2) Für jede Wahl ist eine gesonderte Spalte des Wählerverzeichnisses einzurichten. Die jeweiligen Stimmabgaben werden für jede Wahl in der dafür bestimmten Spalte des Wählerverzeichnisses vermerkt Unionsbürger, die zur Bürgerschaft im Wahlbereich Bremerhaven nicht wahlberechtigt sind, werden in der betreffenden Spalte mit dem Vermerk "Nicht wahlberechtigt" oder "N" bezeichnet.
(3) Der Abschluss des Wählerverzeichnisses ist für jede Wahl vorzunehmen und nach dem an die Erfordernisse der gemeinsamen Wahldurchführung anzupassenden Muster der Anlage 1 gemeinsam zu beurkunden.
(1) Die Wahlbenachrichtigungen erfolgen nach dem an die Erfordernisse der gemeinsamen Wahldurchführung anzupassenden Muster der Anlage 21 und sind für beide Wahlen miteinander zu verbinden. Letzteres gilt nicht für Unionsbürger, die zur Bürgerschaft im Wahlbereich Bremerhaven nicht wahlberechtigt sind.
(3) Die Wahlbenachrichtigung soll für Deutsche und für Unionsbürger optisch unterschiedlich gestaltet sein.
(1) Für beide Wahlen wird ein gemeinsamer Wahlschein nach dem an die Erfordernisse der gemeinsamen Wahldurchführung anzupassenden Muster der Anlage 2 erteilt. § 70 Absatz 1 Satz 2 gilt entsprechend.
(2) Dem Wahlschein ist ein entsprechendes Merkblatt zur Briefwahl nach dem an die Erfordernisse der gemeinsamen Wahldurchführung anzupassenden Muster der Anlage 5 beizufügen.
(3) Die Stimmabgaben von Inhabern eines gemeinsamen Wahlscheines werden vom Schriftführer in den oben im Wahlschein eingedruckten Kästchen BÜ für die Bürgerschaftswahl und ST für die Wahl zur Stadtverordnetenversammlung vermerkt.
(1) Der Wahlvorschlag soll nach dem Muster der Anlage 6 b eingereicht werden. Er muss die in § 28 Absatz 1 Satz 2 Nummer 1 und 2 sowie Satz 3 bezeichneten Angaben enthalten.
(2) Der Wahlvorschlag ist von mindestens drei Mitgliedern des für das Gebiet der Stadt Bremerhaven satzungsmäßig zuständigen Vorstandes, darunter dem Vorsitzenden oder seinem Stellvertreter, persönlich und handschriftlich zu unterzeichnen; § 28 Absatz 2 Satz 2 und 3 gilt entsprechend.
(3) Die in § 16 Absatz 3 Nummer 2 Bremischen Wahlgesetzes genannten Parteien und Wählervereinigungen haben die nach § 18 Absatz 2 Bremischen Wahlgesetzes weiter erforderliche Zahl von Unterschriften auf amtlichen Formblättern nach Anlage 7 b zu erbringen. Die Formblätter werden auf Anforderung vom Stadtwahlleiter kostenfrei geliefert. Bei der Anforderung ist der Name der Partei oder Wählervereinigung, die den Wahlvorschlag einreichen will, und, sofern sie eine Kurzbezeichnung verwendet, auch diese anzugeben. Der Stadtwahlleiter hat diese Angaben im Kopf der Formblätter zu vermerken.
(4) Im Übrigen findet § 28 Absatz 3 bis 6 entsprechende Anwendung; dabei treten an die Stelle der Anlagen 8 a, 9 a, 10 a und 11 a, die Anlagen 8 b, 9 b, 10 b und 11 b.
(1) Für jede Wahl wird mit einem gesonderten Stimmzettel gewählt.
(2) Die Stimmzettel sind für jede Wahl durch eine entsprechende Überschrift und andere Farbe deutlich zu kennzeichnen. Sie sollen für die Bürgerschaftswahl aus weißem Papier hergestellt sein, für die Wahl zur Stadtverordnetenversammlung aus weißem Papier, das mit Ausnahme des für die Anbringung der Logos nach § 67 Absatz 1 in Verbindung mit § 33 Absatz 1c Satz 2 vorgesehenen Feldes mit einem gelben Flächendruck versehen ist, hergestellt sein.
(3) Es kann eine gemeinsame Wahlurne verwendet werden.
(4) Bei der Briefwahl sind die Stimmzettelumschläge vom Wähler zusammen mit dem Wahlschein in einen für beide Wahlen gemeinsamen Wahlbriefumschlag zu legen. Aufdruck und Farbe des Stimmzettelumschlages für die Briefwahl (Anlage 3) und Aufdruck des Wahlbriefumschlages (Anlage 4) sind der verbundenen Wahl anzupassen. Die Stimmzettelumschläge sollen für die Wahl der Bürgerschaft blau und für die Wahl der Stadtverordnetenversammlung gelb sein.
(1) Für beide Wahlen ist eine gemeinsame Wahlbekanntmachung nach § 36 Abs. 1 mit den besonderen Hinweisen zu veröffentlichen, daß
die Wahl zur Bürgerschaft und zur Stadtverordnetenversammlung gleichzeitig stattfindet,
sich die Stimmzettel für beide Wahlen durch Aufdruck und Farbe voneinander unterscheiden,
bei der Briefwahl die Stimmzettelumschläge zusammen mit dem Wahlschein in einen gemeinsamen Wahlbriefumschlag gelegt werden.
(2) Dem Abdruck der Wahlbekanntmachung nach § 36 Abs. 2 ist je ein Stimmzettel für die beiden Wahlen als Muster beizufügen.
(1) Im Anschluss an die Wahlhandlung stellt der Urnenwahlvorstand für den Wahlbezirk fest
die Zahl der Wahlberechtigten,
die Zahl der Wähler.
(2) Vor dem Öffnen der Wahlurne werden alle nicht benutzten Stimmzettel vom Wahltisch entfernt. Sodann werden die Stimmzettel der Wahlurne entnommen, entfaltet, nach ihrer Farbe getrennt gelegt und gezählt. Zugleich werden die Zahl der Stimmabgabevermerke im Wählerverzeichnis und die Zahl der eingenommenen Wahlscheine, bei gemeinsamen Wahlscheinen entsprechend den darauf vermerkten Stimmabgaben, für jede Wahl festgestellt. Ergibt sich dabei auch nach wiederholter Zählung keine Übereinstimmung, so ist dies in der Wahlniederschrift zu vermerken und, soweit möglich, zu erläutern.
(3) Der Urnenwahlvorstand fertigt über die Wahlhandlung und seine Feststellungen für jede Wahl eine gesonderte Niederschrift nach Maßgabe von § 58 und nach dem Muster der Anlage 17a.
(4) Anschließend verpackt der Urnenwahlvorstand die Stimmzettel für jede Wahl getrennt sowie die sonstigen Wahlunterlagen und übergibt sie der Gemeindebehörde nach Maßgabe von § 59 Absatz 1. Die Übergabe ist nach Maßgabe von § 58 und dem Muster der Anlage 17a zu protokollieren. Die Gemeindebehörde legt vor der Wahl fest, ob die Übergabe für jede Wahl gesondert oder gemeinsam für alle Wahlen protokolliert wird. Das Muster der Niederschrift (Anlagen 16a und 17a) ist in seinem 2. Teil gegebenenfalls von der Gemeindebehörde an die Erfordernisse der gemeinsamen Protokollierung anzupassen.
(1) Die Stimmen werden in der Reihenfolge Wahl zur Bremischen Bürgerschaft - Wahl zur Stadtverordnetenversammlung gezählt. §§ 52 bis 54b gelten entsprechend.
(2) Der Auszählwahlvorstand fertigt über die Ermittlung und Feststellung des Wahlergebnisses für jede Wahl eine gesonderte Niederschrift nach Maßgabe von § 58 und nach dem Muster der Anlagen 17a und 17c und gibt die Feststellung nach Maßgabe von § 57 bekannt.
(3) Anschließend verpackt der Auszählwahlvorstand die Stimmzettel für jede Wahl getrennt sowie die sonstigen Wahlunterlagen und übergibt sie der Gemeindebehörde nach Maßgabe von § 59 Absatz 4.
(1) Vor dem Öffnen der Wahlbriefe ist anhand der rückseitigen Aufdrucke auf den Wahlbriefumschlägen die Zahl der von der Gemeindebehörde übergebenen Wahlbriefe für jede Wahl festzustellen und in der betreffenden Niederschrift jeder Wahl zu vermerken.
(2) Für die Zulassung der gemeinsamen Wahlbriefe gilt § 55a entsprechend mit folgenden Maßgaben:
Die aus gemeinsamen Wahlbriefen entnommenen Stimmzettelumschläge werden ungeöffnet in die Wahlurne geworfen, nachdem der Schriftführer die jeweiligen Stimmabgaben nach § 71 Abs. 3 auf den gemeinsamen Wahlscheinen vermerkt hat.
Werden gegen Beschaffenheit oder Inhalt eines gemeinsamen Wahlbriefes Bedenken erhoben, so beschließen die Briefwahlvorstände zugleich über die Zulassung oder Zurückweisung für beide Wahlen.
Die zurückgewiesenen gemeinsamen Wahlbriefe sind samt Inhalt, soweit dieser nicht der weiteren Auswertung zuzuführen ist, auszusondern, mit einem Vermerk über den Zurückweisungsgrund für die betreffende Wahl zu versehen, wieder zu verschließen, fortlaufend zu numerieren und der Niederschrift über die Bürgerschaftswahl beizufügen.
Die Niederschrift ist nach dem Muster der Anlage 17b zu erstellen.
Die Übergabe ist nach Maßgabe von § 58 und dem Muster der Anlage 17b zu protokollieren. Die Gemeindebehörde legt vor der Wahl fest, ob die Übergabe für jede Wahl gesondert oder gemeinsam für alle Wahlen protokolliert wird. Das Muster der Niederschrift (Anlagen 16b und 17b) ist in seinem 2. Teil ggf. von der Gemeindebehörde an die Erfordernisse der gemeinsamen Protokollierung anzupassen.
Für die Ermittlung und Feststellung des Briefwahlergebnisses gelten §§ 55b und 75a mit folgenden Maßgaben:
Befindet sich im Stimmzettelumschlag der Bürgerschaftswahl ein Stimmzettel zur Wahl der Stadtverordnetenversammlung statt eines Stimmzettels zur Bürgerschaftswahl, so ist der Stimmzettel im Stimmzettelumschlag zu belassen und der Stimmzettelumschlag als „leer“ zu kennzeichnen.
Befindet sich im Stimmzettelumschlag der Bürgerschaftswahl neben dem Stimmzettel zur Bürgerschaftswahl ein Stimmzettel zur Wahl der Stadtverordnetenversammlung, so ist der Stimmzettel zur Wahl der Stadtverordnetenversammlung im Stimmzettelumschlag zu belassen und auf dem Stimmzettelumschlag zu vermerken „Inhalt 1 Stimmzettel zur Wahl der Stadtverordnetenversammlung“. Er ist der Niederschrift über die Bürgerschaftswahl beizufügen, bleibt aber unberücksichtigt. Der Stimmzettel zur Bürgerschaftswahl wird ausgewertet.
Befindet sich im Stimmzettelumschlag für die Wahl zur Stadtverordnetenversammlung ein Stimmzettel zur Bürgerschaftswahl, so gelten die Nummern 1 und 2 entsprechend.
Die Niederschrift ist nach dem Muster der Anlage 17b und 17c zu erstellen.
Der Stadtwahlleiter weist die gewählten Bewerber auf die Vorschriften der §§ 33 und 46 Bremischen Wahlgesetzes hin. Ein gewählter Bewerber, der als Magistratsmitglied nach § 46 Abs. 1 Satz 1 Nr. 1 Bremischen Wahlgesetzes gehindert ist, in die Stadtverordnetenversammlung einzutreten, erhält keine Aufforderung zur Annahme der Wahl nach § 30 Abs. 5 Bremischen Wahlgesetzes. Im übrigen gilt § 62 entsprechend.
(1) Der Stadtwahlleiter und der Landeswahlleiter prüfen, ob die Wahl nach den Vorschriften des Gesetzes und dieser Verordnung durchgeführt worden ist. Nach dem Ergebnis ihrer Prüfung entscheiden sie, ob Einspruch gegen die Wahl einzulegen ist (§ 47 Abs. 2 Satz 2 Bremischen Wahlgesetzes).
(2) Auf Anforderung hat der Stadtwahlleiter dem Landeswahlleiter die bei ihm und der Gemeindebehörde vorhandenen Wahlunterlagen zu übersenden.
(1) Für Einzelbewerber, die nach § 45 Absatz 4 des Bremischen Wahlgesetzes Wahlvorschläge einreichen möchten, gelten die Vorschriften über Parteien und Wählervereinigungen nach Maßgabe der nachfolgenden Bestimmungen entsprechend. Der Einzelbewerber tritt an die Stelle der Partei oder Wählervereinigung, des Vorstandes, des Vorsitzenden und der Vertrauensperson. An die Stelle der Kurzbezeichnung tritt ein Kennwort.
(2) Die Beteiligungsanzeige gemäß § 16 des Bremischen Wahlgesetzes muss Familiennamen, Vornamen, Beruf oder Stand, Geburtsdatum, Geburtsort und Anschrift (Hauptwohnung) des Einzelbewerbers sowie das Kennwort enthalten und von ihm persönlich unterschrieben sein.
(3) Der Wahlvorschlag soll nach dem Muster der Anlage 6 c eingereicht werden und ist von dem Einzelbewerber persönlich zu unterschreiben. Der Wahlvorschlag muss von der in § 18 Absatz 2 Satz 2 des Bremischen Wahlgesetzes genannten Mindestzahl an Wahlberechtigten unterzeichnet sein, sofern der Einzelbewerber nicht bereits seit der letzen Wahl aufgrund eines eigenen Wahlvorschlages als Einzelbewerber ununterbrochen in der Stadtverordnetenversammlung vertreten war. Die Unterschriften sind auf amtlichen Formblättern nach dem Muster der Anlage 7 b zu erbringen.
(4) § 28 Absatz 2, Absatz 3 Nummer 1 Satz 3 und Nummer 5, Absatz 4 Nummer 3 und 5 findet keine Anwendung. An die Stelle der Anlagen 6 b und 8 b tritt die Anlage 6 c. § 33 Absatz 1b Satz 1 und 2 finden keine Anwendung.
(1) Auf die Wahl der Beiräte im Gebiet der Stadt Bremen finden die Vorschriften des Ersten Teils dieser Verordnung nach Maßgabe der Absätze 2 und 3 entsprechende Anwendung, soweit nicht in den §§ 79 bis 89a etwas anderes bestimmt ist.
| 1. des Gebietes der Freien Hansestadt Bremen und der Wahlbereiche | der Beiratsbereich; |
| 2. der Bürgerschaft | |
| 3. des Präsidenten der Bürgerschaft | der Ortsamtsleiter; |
| 4. des Landeswahlleiters | der Leiter des Wahlbereichs Bremen, ausgenommen in §§ 3, 4, 27, 29 Absatz 1, § 30 Absatz 7, §§ 31, 33 Absatz 1 Satz 4, §§ 52, 54b Absatz 4, § 58 Absatz 2 Satz 5, § 60 Absatz 5, §§ 64 und 65 Absatz 6. |
(3) § 28 Absatz 3 Nummer 6, § 57a Absatz 3 Satz 2 und Absatz 4, § 60 Absatz 2 Satz 2 Nummer 8, § 61 Absatz 1 bis 4 und § 62 Absatz 2 finden keine Anwendung.
(4) § 32 Satz 2 und § 33 Absatz 1a Satz 3 finden entsprechende Anwendung mit der Maßgabe, dass stets der Ortsteil der Hauptwohnung aufzuführen ist und insoweit eine Stadtteilnennung unterbleibt.
(1) Die Wahlbezirke und Wahlräume müssen für die verbundenen Wahlen zur Bürgerschaft und zu den Beiräten dieselben sein.
(2) Die Wahlvorstände sind für jede Wahl gesondert zu berufen. Die Mitglieder des Wahlvorstandes zur Bürgerschaftswahl können gleichzeitig dem Wahlvorstand zur Beiratswahl angehören.
(3) Die Entschädigung nach § 10 wird bei verbundenen Wahlen nur einmal gezahlt.
(1) Aufgestellt, zur Einsichtnahme bereit gehalten und benutzt wird für beide Wahlen ein gemeinsames Wählerverzeichnis.
(2) Für jede Wahl ist eine gesonderte Spalte des Wählerverzeichnisses einzurichten. Die jeweiligen Stimmabgaben werden für jede Wahl in der dafür bestimmten Spalte des Wählerverzeichnisses vermerkt.
(3) Der Abschluss des Wählerverzeichnisses ist für jede Wahl vorzunehmen und nach dem an die Erfordernisse der gemeinsamen Wahldurchführung anzupassenden Muster der Anlage 1 gemeinsam zu beurkunden.
(1) Die Wahlbenachrichtigungen sind für beide Wahlen miteinander zu verbinden und erfolgen nach dem an die Erfordernisse der gemeinsamen Wahldurchführung anzupassenden Muster der Anlage 21.
(2) Die Wahlbenachrichtigung soll für Deutsche und für Unionsbürger optisch unterschiedlich gestaltet sein.
(1) Für beide Wahlen wird ein gemeinsamer Wahlschein nach dem an die Erfordernisse der gemeinsamen Wahldurchführung anzupassenden Muster der Anlage 2 erteilt.
(2) Dem gemeinsamen Wahlschein ist ein Merkblatt zur Briefwahl nach dem an die Erfordernisse der gemeinsamen Wahldurchführung anzupassenden Muster der Anlage 5 beizufügen.
(3) Die Stimmabgaben von Inhabern eines gemeinsamen Wahlscheines werden vom Schriftführer in den oben im Wahlschein eingedruckten Kästchen BÜ oder EU für die Bürgerschaftswahl und BE für die Beiratswahl vermerkt.
(1) Der Leiter des Wahlbereichs Bremen hat in der Bekanntmachung nach § 26 auch darauf hinzuweisen, in welche Beiratsbereiche das Gebiet der Stadt Bremen eingeteilt ist und wieviel Unterschriften die Wahlvorschläge nach § 51 Abs. 2 des Bremischen Wahlgesetzes jeweils enthalten müssen.
(2) Der Wahlvorschlag soll nach dem Muster der Anlage 6 b eingereicht werden. Er muß neben den in § 28 Abs. 1 Satz 2 Nr. 1 und 2 sowie Satz 3 bezeichneten Angaben auch die Bezeichnung des Beiratsbereichs enthalten, für den der Wahlvorschlag aufgestellt wird.
(3) Der Wahlvorschlag ist von mindestens drei Mitgliedern des für das Gebiet der Stadt Bremen satzungsmäßig zuständigen Vorstandes, darunter dem Vorsitzenden oder seinem Stellvertreter, persönlich und handschriftlich zu unterzeichnen; § 28 Abs. 2 Satz 2 und 3 gilt entsprechend.
(4) Die in § 16 Abs. 3 Nr. 2 des Bremischen Wahlgesetzes genannten Parteien und Wählervereinigungen haben die nach § 51 Abs. 2 des Gesetzes weiter erforderliche Zahl von Unterschriften auf amtlichen Formblättern nach Anlage 7 b zu erbringen. Die Formblätter werden auf Anforderung vom Leiter des Wahlbereichs Bremen kostenfrei geliefert. Bei der Anforderung ist der Name der Partei oder Wählervereinigung, die den Wahlvorschlag einreichen will, und, sofern sie eine Kurzbezeichnung verwendet, auch diese sowie der betreffende Beiratsbereich, für den der Wahlvorschlag aufgestellt ist, anzugeben. Der Leiter des Wahlbereichs Bremen hat diese Angaben im Kopf der Formblätter zu vermerken.
(5) Im Übrigen findet § 28 Absatz 3 bis 6 entsprechende Anwendung; dabei treten an die Stelle der Anlagen 8 a, 9 a, Anlagen 10 a und 11 a, die Anlagen 8 b, 9 b, 10 b und 11 b.
(1) Für jede Wahl wird mit einem gesonderten Stimmzettel gewählt.
(2) Die Stimmzettel sind für jede Wahl durch eine entsprechende Überschrift und andere Farbe deutlich zu kennzeichnen. Sie sollen für die Bürgerschaftswahl für Deutsche aus weißem Papier hergestellt sein, für die Bürgerschaftswahl für Unionsbürger aus weißem Papier, das mit Ausnahme des für die Anbringung der Logos nach § 33 Absatz 1c Satz 2 vorgesehenen Feldes mit einem grünen Flächendruck versehen ist, hergestellt sein und für die Beiratswahl aus weißem Papier, das mit Ausnahme des für die Anbringung der Logos nach § 78 Absatz 1 in Verbindung mit § 33 Absatz 1c Satz 2 vorgesehenen Feldes mit einem gelben Flächendruck versehen ist, hergestellt sein.
(3) Es kann eine gemeinsame Wahlurne verwendet werden.
(4) Bei der Briefwahl sind die Stimmzettelumschläge vom Wähler zusammen mit dem Wahlschein in einen für beide Wahlen gemeinsamen Wahlbriefumschlag zu legen. Aufdruck und Farbe des Stimmzettelumschlages für die Briefwahl (Anlage 3) und Aufdruck des Wahlbriefumschlages (Anlage 4) sind der verbundenen Wahl anzupassen. Die Stimmzettelumschläge sollen für die Wahl der Bürgerschaft blau, bei Unionsbürgern grün und für die Wahl der Beiräte gelb sein.
(1) Für beide Wahlen ist eine gemeinsame Wahlbekanntmachung nach § 36 Abs. 1 mit den besonderen Hinweisen zu veröffentlichen, daß
die Wahl zur Bürgerschaft und zu den Beiräten gleichzeitig stattfindet,
sich die Stimmzettel für beide Wahlen durch Aufdruck und Farbe voneinander unterscheiden,
bei der Briefwahl die Stimmzettelumschläge zusammen mit dem Wahlschein in einen gemeinsamen Wahlbriefumschlag gelegt werden.
(2) Dem Abdruck der Wahlbekanntmachung nach § 36 Abs. 2 ist je ein Stimmzettel für die beiden Wahlen als Muster beizufügen.
(1) Im Anschluss an die Wahlhandlung stellt der Urnenwahlvorstand für den Wahlbezirk fest
die Zahl der Wahlberechtigten,
die Zahl der Wähler.
(2) Vor dem Öffnen der Wahlurne werden alle nicht benutzten Stimmzettel vom Wahltisch entfernt. Sodann werden die Stimmzettel der Wahlurne entnommen, entfaltet, nach ihrer Farbe getrennt gelegt und gezählt. Zugleich werden die Zahl der Stimmabgabevermerke im Wählerverzeichnis und die Zahl der Stimmabgabevermerke auf den eingenommenen Wahlscheinen für jede Wahl festgestellt. Ergibt sich dabei auch nach wiederholter Zählung keine Übereinstimmung, so ist dies in der Wahlniederschrift zu vermerken und, soweit möglich, zu erläutern.
(3) Der Urnenwahlvorstand fertigt über die Wahlhandlung und seine Feststellungen für jede Wahl eine gesonderte Niederschrift nach Maßgabe von § 58 und nach dem Muster der Anlage 17a.
(4) Anschließend verpackt der Urnenwahlvorstand die Stimmzettel für jede Wahl getrennt sowie die Wahlscheine und die sonstigen Wahlunterlagen und übergibt sie der Gemeindebehörde nach Maßgabe von § 59 Absatz 1. Die Übergabe ist nach Maßgabe von § 58 und dem Muster der Anlage 17a zu protokollieren. Die Gemeindebehörde legt vor der Wahl fest, ob die Übergabe für jede Wahl gesondert oder gemeinsam für alle Wahlen protokolliert wird, Das Muster der Niederschrift (Anlagen 16a und 17a) ist in seinem 2. Teil ggf. von der Gemeindebehörde an die Erfordernisse der gemeinsamen Protokollierung anzupassen.
(1) Die Stimmen werden in der Reihenfolge Wahl zur Bremischen Bürgerschaft - Wahl der Beiräte gezählt. §§ 52 bis 54b gelten entsprechend.
(2) Der Auszählwahlvorstand fertigt über die Ermittlung und Feststellung des Wahlergebnisses für jede Wahl eine gesonderte Niederschrift nach Maßgabe von § 58 und nach dem Muster der Anlagen 17a und 17c und gibt die Feststellung nach Maßgabe von § 57 bekannt.
(3) Anschließend verpackt der Auszählwahlvorstand die Stimmzettel für jede Wahl getrennt sowie die sonstigen Wahlunterlagen und übergibt sie der Gemeindebehörde nach Maßgabe von § 59 Absatz 4.
(1) Vor dem Öffnen der Wahlbriefe ist anhand der rückseitigen Aufdrucke auf den Wahlbriefumschlägen die Zahl der von der Gemeindebehörde übergebenen Wahlbriefe für jede Wahl festzustellen und in der betreffenden Niederschrift jeder Wahl zu vermerken.
(2) Für die Zulassung der gemeinsamen Wahlbriefe gilt § 55a entsprechend mit folgenden Maßgaben:
Die aus gemeinsamen Wahlbriefen entnommenen Stimmzettelumschläge werden ungeöffnet in die Wahlurne geworfen, nachdem der Schriftführer die jeweiligen Stimmabgaben nach § 82 Abs. 3 auf den gemeinsamen Wahlscheinen vermerkt hat.
Werden gegen Beschaffenheit oder Inhalt eines gemeinsamen Wahlbriefes Bedenken erhoben, so beschließen die Briefwahlvorstände zugleich über die Zulassung oder Zurückweisung für beide Wahlen.
Die zurückgewiesenen gemeinsamen Wahlbriefe sind samt Inhalt, soweit dieser nicht der weiteren Auswertung zuzuführen ist, auszusondern, mit einem Vermerk über den Zurückweisungsgrund für die betreffende Wahl zu versehen, wieder zu verschließen, fortlaufend zu numerieren und der Niederschrift über die Bürgerschaftswahl beizufügen.
Die Niederschrift ist nach dem Muster der Anlage 17b zu erstellen.
Die Übergabe ist nach Maßgabe von § 58 und dem Muster der Anlage 17b zu protokollieren. Die Gemeindebehörde legt vor der Wahl fest, ob die Übergabe für jede Wahl gesondert oder gemeinsam für alle Wahlen protokolliert wird. Das Muster der Niederschrift (Anlagen 16b und 17b) ist in seinem 2. Teil ggf. von der Gemeindebehörde an die Erfordernisse der gemeinsamen Protokollierung anzupassen.
Für die Ermittlung und Feststellung des Briefwahlergebnisses gelten §§ 55b und 86a entsprechend mit folgenden Maßgaben:
Befindet sich im Stimmzettelumschlag der Bürgerschaftswahl ein Stimmzettel zur Beiratswahl statt eines Stimmzettels zur Bürgerschaftswahl, so ist der Stimmzettel im Stimmzettelumschlag zu belassen und der Stimmzettelumschlag als „leer“ zu kennzeichnen.
Befindet sich im Stimmzettelumschlag der Bürgerschaftswahl neben dem Stimmzettel zur Bürgerschaftswahl ein Stimmzettel zur Beiratswahl, so ist der Stimmzettel zur Beiratswahl im Stimmzettelumschlag zu belassen und auf dem Stimmzettelumschlag zu vermerken „Inhalt 1 Stimmzettel zur Beiratswahl“. Er ist der Niederschrift über die Bürgerschaftswahl beizufügen, bleibt aber unberücksichtigt. Der Stimmzettel zur Bürgerschaftswahl wird ausgewertet.
Befindet sich im Stimmzettelumschlag für die Beiratswahl ein Stimmzettel zur Bürgerschaftswahl, so gelten die Nummern 1 und 2 entsprechend.
Die Niederschrift ist nach dem Muster der Anlagen 17b und 17c zu fertigen.
Der Leiter des Wahlbereichs Bremen weist die gewählten Bewerber auf die Vorschriften der §§ 33 und 52 des Bremischen Wahlgesetzes hin. Im übrigen gilt § 62 Abs. 1 entsprechend.
(1) Der Leiter des Wahlbereichs Bremen und der Landeswahlleiter prüfen, ob die Wahl nach den Vorschriften des Gesetzes und dieser Verordnung durchgeführt worden ist. Nach dem Ergebnis ihrer Prüfung entscheiden sie, ob Einspruch gegen die Wahl einzulegen ist (§ 53 Abs. 2 des Bremischen Wahlgesetzes).
(2) Auf Anforderung hat der Leiter des Wahlbereichs Bremen dem Landeswahlleiter die bei ihm und der Gemeindebehörde vorhandenen Wahlunterlagen zu übersenden.
(1) Für Einzelbewerber, die nach § 51 Absatz 4 des Bremischen Wahlgesetzes Wahlvorschläge einreichen möchten, gelten die Vorschriften über Parteien und Wählervereinigungen nach Maßgabe der nachfolgenden Bestimmungen entsprechend. Der Einzelbewerber tritt an die Stelle der Partei oder Wählervereinigung, des Vorstandes, des Vorsitzenden und der Vertrauensperson. An die Stelle der Kurzbezeichnung tritt ein Kennwort.
(2) Die Beteiligungsanzeige gemäß § 16 des Bremischen Wahlgesetzes muss Familiennamen, Vornamen, Beruf oder Stand, Geburtsdatum, Geburtsort und Anschrift (Hauptwohnung) des Einzelbewerbers sowie das Kennwort enthalten und von ihm persönlich unterschrieben sein.
(3) Der Wahlvorschlag soll nach dem Muster der Anlage 6 c eingereicht werden und ist von dem Einzelbewerber persönlich zu unterschreiben. Der Wahlvorschlag muss von der in § 51 Absatz 2 Satz 2 des Bremischen Wahlgesetzes genannten Mindestzahl an Wahlberechtigten unterzeichnet sein, sofern der Einzelbewerber nicht bereits seit der letzen Wahl aufgrund eines eigenen Wahlvorschlages als Einzelbewerber ununterbrochen im Beirat vertreten war. Die Unterschriften sind auf amtlichen Formblättern nach dem Muster der Anlage 7 b zu erbringen.
(4) § 28 Absatz 2, Absatz 3 Nummer 1 Satz 3 und Nummer 5, Absatz 4 Nummer 3 und 5 findet keine Anwendung. An die Stelle der Anlagen 6 b und 8 b tritt die Anlage 6 c. § 33 Absatz 1b Satz 1 und 2 finden keine Anwendung.
(1) Die Vorschriften des Ersten Teils dieser Verordnung gelten für die gemeinsame Durchführung der Wahl der Bürgerschaft und eines Volksentscheides im Land oder in der Stadtgemeinde Bremen entsprechend, soweit nicht in den §§ 91 bis 98 etwas anderes bestimmt ist.
(2) Der Landeswahlleiter kann im Einzelfall Regelungen zur Anpassung an besondere Verhältnisse treffen.
(1) Die Wahlbezirke, Wahlräume und Wahlvorstände müssen für die Wahl zur Bürgerschaft und für den Volksentscheid dieselben sein.
(2) Bei einem Volksentscheid im Land müssen die Wahlvorstände für die Wahl zur Bürgerschaft und für den Volksentscheid dieselben sein.
(3) Bei einem Volksentscheid in der Stadtgemeinde Bremen sind die Wahlvorstände für die Wahl zur Bürgerschaft und für den Volksentscheid gesondert zu berufen. Die Mitglieder des Wahlvorstandes zur Bürgerschaftswahl können gleichzeitig dem Wahlvorstand zum Volksentscheid in der Stadtgemeinde Bremen angehören.
(4) Die Entschädigung nach § 10 wird bei den verbundenen Abstimmungen nur einmal gezahlt.
(1) Aufgestellt, zur Einsichtnahme bereit gehalten und benutzt wird für alle verbundenen Abstimmungen ein gemeinsames Wählerverzeichnis.
(2) Für jede Abstimmung ist eine gesonderte Spalte des Wählerverzeichnisses einzurichten. Die jeweiligen Stimmabgaben werden für jede Abstimmung in der dafür bestimmten Spalte des Wählerverzeichnisses vermerkt. Bei einem Volksentscheid im Land werden Unionsbürger in der betreffenden Spalte mit dem Vermerk "Nicht stimmberechtigt" oder "N" bezeichnet.
(3) Der Abschluss des Wählerverzeichnisses ist für jede Abstimmung vorzunehmen und nach dem an die Erfordernisse der gemeinsamen Wahldurchführung anzupassenden Muster der Anlage 1 gemeinsam zu beurkunden.
(1) Die Wahlbenachrichtigungen sind für alle Abstimmungen miteinander zu verbinden und erfolgen nach dem an die Erfordernisse der gemeinsamen Wahl anzupassenden Muster der Anlage 21.
(2) Bei einem Volksentscheid im Land ist die Wahlbenachrichtigung nach Absatz 1 für Unionsbürger entsprechend zu ändern.
(1) Für die jeweils verbundenen Abstimmungen wird ein gemeinsamer Wahlschein nach dem an die Erfordernisse der gemeinsamen Wahldurchführung anzupassenden Muster der Anlage 2 erteilt.
(2) Dem gemeinsamen Wahlschein ist ein jeweils entsprechendes Merkblatt zur Briefwahl nach dem an die Erfordernisse der gemeinsamen Wahldurchführung anzupassenden Muster der Anlage 5 beizufügen.
(3) Die jeweiligen Stimmabgaben von Inhabern eines gemeinsamen Wahlscheines werden vom Schriftführer für jede Abstimmung in den dafür bestimmten, oben im Wahlschein eingedruckten Kästchen vermerkt.
(1) Die Stimmzettel sind für jede Abstimmung durch eine entsprechende Überschrift und andere Farbe deutlich zu kennzeichnen. Sie sollen für den Volksentscheid aus grauem Papier hergestellt sein.
(2) Es kann eine gemeinsame Wahlurne verwendet werden.
(3) Bei der Briefwahl sind die Stimmzettelumschläge vom Wähler zusammen mit dem gemeinsamen Wahlschein in einen für alle Abstimmungen gemeinsamen Wahlbriefumschlag zu legen. Aufdruck und Farbe des Stimmzettelumschlages für die Briefwahl (Anlage 3) und Aufdruck des Wahlbriefumschlages (Anlage 4) sind der verbundenen Abstimmung anzupassen. Die Stimmzettelumschläge sollen für die Wahl der Bürgerschaft blau, bei Unionsbürgern im Wahlbereich Bremen grün, für die Wahl der Beiräte gelb und für den Volksentscheid grau sein.
(1) Für alle verbundenen Abstimmungen ist eine gemeinsame Wahlbekanntmachung nach § 36 Abs. 1 mit den besonderen Hinweisen zu veröffentlichen, daß
der Volksentscheid sowie die Wahl zur Bürgerschaft und zu den Beiräten gleichzeitig stattfindet,
sich die Stimmzettel durch Inhalt und Farbe des Papiers voneinander unterscheiden,
bei der Briefwahl die Stimmzettelumschläge zusammen mit dem Wahlschein in einen gemeinsamen Wahlbriefumschlag gelegt werden.
(2) Dem Abdruck der Wahlbekanntmachung nach § 36 Abs. 2 ist je ein Stimmzettel für alle Abstimmungen als Muster beizufügen.
Für die Feststellungen des Urnenwahlvorstandes, die Anfertigung der Niederschrift, das Verpacken der Unterlagen sowie die Übergabe an die Gemeindebehörde gilt § 86 entsprechend.
Die Stimmen werden in der Reihenfolge Wahl zur Bremischen Bürgerschaft - Volksentscheid - Wahl der Beiräte gezählt. Im Übrigen gilt § 86a entsprechend.
(1) Die Wahlbezirke müssen so ausgewählt und die Auszählungen so durchgeführt werden, dass das Wahlgeheimnis gewahrt ist. Die Wahl zur Bremischen Bürgerschaft (Landtag) wird nach Maßgabe von § 57 des Bremischen Wahlgesetzes wahlstatistisch ausgewertet. Dabei werden Stimmzettel mit Unterscheidungsbezeichnungen verwendet. Die nähere Ausgestaltung obliegt dem Landeswahlleiter. Dabei orientiert er sich weitestgehend an den Bestimmungen des Wahlstatistikgesetzes des Bundes. Die Stimmzettel des Wahlbezirks stehen den mit der Auszählung beauftragten Behörden und Personen nur so lange zur Verfügung, als es die Aufbereitung erfordert; im Übrigen sind die Stimmzettel nach den Vorschriften der §§ 58 und 59 zu behandeln.
(2) Die Veröffentlichung von Ergebnissen der wahlstatistischen Auszählungen aufgrund des § 57 Abs. 2 des Bremischen Wahlgesetzes ist dem Statistischen Landesamt vorbehalten. Die Ergebnisse für einzelne Wahlbezirke dürfen nicht bekanntgegeben werden.
(1) Zum Schutze der fristgemäßen Durchführung der Wahl bestehen die Rechte aus § 2 Absatz 6 Satz 1 des Bremischen Ausführungsgesetzes zur EU-Datenschutzgrundverordnung in Verbindung mit den Artikeln 16 und 18 der Verordnung (EU) 2016/679 des Europäischen Parlaments und des Rates vom 27. April 2016 zum Schutz natürlicher Personen bei der Verarbeitung personenbezogener Daten, zum freien Datenverkehr und zur Aufhebung der Richtlinie 95/46/EG (Datenschutz-Grundverordnung) (ABl. L 119 vom 4.5.2016, S. 1; L 314 vom 22.11.2016, S. 72) nicht,
soweit es personenbezogene Daten in Wahlvorschlägen betrifft, im Zeitraum vom Ablauf der Frist für die Einreichung der Wahlvorschläge (§ 17 des Bremischen Wahlgesetzes) bis zum Ablauf des Wahltages,
soweit es personenbezogene Daten im Wählerverzeichnis betrifft, im Zeitraum vom Beginn der Eintragung der Wahlberechtigten in das Wählerverzeichnis (§ 12) bis zum Ablauf des Wahltages.
Macht eine betroffene Person in den Fällen des Satzes 1 ein Verlangen nach § 2 Absatz 6 Satz 1 des Bremischen Ausführungsgesetzes zur EU-Datenschutzgrundverordnung in Verbindung mit Artikel 16 oder Artikel 18 der Verordnung (EU) 2016/679 geltend, ist sie über die durch Satz 1 erfolgte Beschränkung ihres Rechts zu unterrichten
soweit es Daten in Wahlvorschlägen betrifft, durch den Wahlbereichsleiter,
soweit es Daten im Wählerverzeichnis betrifft, durch die Gemeindebehörde.
Bei der Wahl zur Stadtverordnetenversammlung tritt in Satz 2 Nummer 1 an die Stelle des Wahlbereichsleiters der Stadtwahlleiter.
(2) Im Übrigen findet die Verordnung (EU) 2016/679 keine entsprechende Anwendung.
(1) Die nach dem Bremischen Wahlgesetz und dieser Verordnung vorgeschriebenen öffentlichen Bekanntmachungen erfolgen
durch die Gemeindebehörden in den Tageszeitungen, die in dem Gebiet, für das die Bekanntmachung erforderlich ist, allgemein verbreitet sind,
in allen übrigen Fällen im Amtsblatt der Freien Hansestadt Bremen.
(2) Für die öffentliche Bekanntmachung nach § 5 Abs. 3 und genügt ein Aushang am oder im Eingang des Sitzungsgebäudes mit dem Hinweis, daß jedermann Zutritt zu der Sitzung hat.
(3) Die Bekanntmachungen nach Absatz 1 und 2 können zusätzlich im Internet veröffentlicht werden. Insbesondere dürfen die Wahlvorschläge mit den in § 32 genannten Daten sowie Muster-Stimmzettel nach Maßgabe der Sätze 3 und 4 im Internet veröffentlicht werden. Dabei ist nach den Möglichkeiten, die der aktuelle Stand der Technik eröffnet, die Unversehrtheit, Vollständigkeit und Ursprungszuordnung der Veröffentlichung zu gewährleisten. In den Fällen des Absatzes 1 Nummer 1 sowie des Absatzes 2 sind die Veröffentlichungen spätestens einen Monat nach Bekanntgabe des endgültigen Wahlergebnisses im Land Bremen zu löschen.
(1) Die Wählerverzeichnisse, die Wahlscheinverzeichnisse, die Verzeichnisse nach § 22 Abs. 7 Satz 2 und § 23 Abs. 1, die Formblätter mit Unterstützungsunterschriften für Wahlvorschläge sowie eingenommene Wahlbenachrichtigungen sind so zu verwahren, daß sie gegen Einsichtnahme durch Unbefugte geschützt sind.
(2) Auskünfte aus Wählerverzeichnissen, Wahlscheinverzeichnissen und Verzeichnissen nach § 22 Abs. 7 Satz 2 und § 23 Abs. 1 dürfen nur Behörden, Gerichten und sonstigen amtlichen Stellen innerhalb des Landes und nur dann erteilt werden, wenn sie für den Empfänger im Zusammenhang mit der Wahl erforderlich sind. Ein solcher Anlaß liegt insbesondere bei Verdacht von Wahlstraftaten, bei Wahlprüfungsangelegenheiten und bei wahlstatistischen Arbeiten vor.
(3) Mitglieder von Wahlorganen, Amtsträger und für den öffentlichen Dienst besonders Verpflichtete dürfen Auskünfte über Unterstützungsunterschriften für Wahlvorschläge nur Behörden, Gerichten und sonstigen amtlichen Stellen innerhalb des Landes und nur dann erteilen, wenn die Auskunft zur Durchführung der Wahl oder eines Wahlprüfungsverfahrens oder zur Aufklärung des Verdachts einer Wahlstraftat erforderlich ist.
(1) Die eingenommenen Wahlbenachrichtungen sind unverzüglich zu vernichten.
(2) Wählerverzeichnisse, Wahlscheinverzeichnisse, Verzeichnisse nach § 22 Abs. 7 Satz 2 und § 23 Abs. 1 sowie Formblätter mit Unterstützungsunterschriften für Wahlvorschläge sind nach Ablauf von sechs Monaten seit der Wahl zu vernichten, wenn nicht der Landeswahlleiter mit Rücksicht auf ein schwebendes Wahlprüfungsverfahren etwas anderes anordnet oder sie für die Strafverfolgungsbehörde zur Ermittlung einer Wahlstraftat von Bedeutung sein können.
(3) Die übrigen Wahlunterlagen können 60 Tage vor der Neuwahl vernichtet werden. Der Landeswahlleiter kann zulassen, daß die Unterlagen früher vernichtet werden, soweit sie nicht für ein schwebendes Wahlprüfungsverfahren oder für die Strafverfolgungsbehörde zur Ermittlung einer Wahlstraftat von Bedeutung sein können.
(4) Über die Vernichtung von Wahlunterlagen ist eine Niederschrift zu fertigen, die von allen Beteiligten zu unterzeichnen ist.
Im Falle einer vorzeitigen Beendigung der Wahlperiode der Bürgerschaft nach Artikel 76 der Landesverfassung finden bis zu einer Wiederherstellung der Übereinstimmung der Wahlperioden von Bürgerschaft und Stadtverordnetenversammlung und der Wahltage für die Wahl der Stadtverordnetenversammlung die Vorschriften des Zweiten Teils dieser Verordnung Anwendung mit folgenden Maßgaben:
Abweichend von § 67 Abs. 2 Nr. 5 tritt auch in § 29 Abs. 1, § 30 Abs. 7, § 60 Abs. 5 und §§ 64 und 65 Abs. 6 an die Stelle des Landeswahlleiters der Stadtwahlleiter;
§ 68 Abs. 2 bis 5 und §§ 69 bis 71, 73 bis 75 c finden keine Anwendung.
Findet eine der in dieser Verordnung geregelten Wahlen oder ein Volksentscheid am Tag einer Wahl zum Europäischen Parlament, einer Wahl zum Deutschen Bundestag oder beider Wahlen statt, gelten ergänzend die nachfolgenden Bestimmungen:
Die Wahlbezirke, Wahlräume und Wahlvorstände für sämtliche Wahlen und Volksentscheide sollen dieselben sein,
für die Wahl zum Europäischen Parlament und die Wahl zum Deutschen Bundestag ist jeweils eine gesonderte Wahlurne zu verwenden,
Entschädigungen nach § 10 Absatz 2 werden auf ein Erfrischungsgeld nach § 10 der Europawahlordnung sowie auf ein Erfrischungsgeld nach § 10 der Bundeswahlordnung angerechnet,
der Landeswahlleiter kann im Einzelfall Regelungen zur Anpassung an die besonderen Verhältnisse treffen.
(zu § 22 Absatz 3 Nummer 2, § 33 Absatz 2, § 73 Absatz 2 und 4, § 84 Absatz 2 und 4 und § 95 Absatz 3)
(zu §§ 72 Absatz 3, 77a Absatz 3, 83 Absatz 4 und 89a Absatz 3 in Verbindung mit § 28 Absatz 3)
(zu § 75 Absatz 3, § 75a Absatz 2 und § 86 Absatz 3, § 86a Absatz 2 in Verbindung mit § 58 Absatz 1 und 2)



.neu.gif)












(zu § 75b Absatz 2, § 75c, § 87 Absatz 2 und § 87a Nummer 4 in Verbindung mit § 58 Absatz 1 und 2)
















