|
|
(1) Bedienstete der Stadtgemeinde Bremen, die am 31. Dezember 1998 auf einer der in der Anlage ausgewiesenen Stellen geführt werden, sind mit Wirkung vom 1. Januar 1999 Bedienstete des Bremer Baubetrieb, Eigenbetrieb der Stadtgemeinde Bremen.
(2) Der Senat wird ermächtigt, durch Rechtsverordnung Bedienstete der Oberfinanzdirektion Bremen, deren Aufgaben entsprechend einer mit dem Bund zu treffenden Vereinbarung durch den Bremer Baubetrieb, Eigenbetrieb der Stadtgemeinde Bremen wahrgenommen werden, auf diesen überzuleiten.
zu § 1 Abs. 1
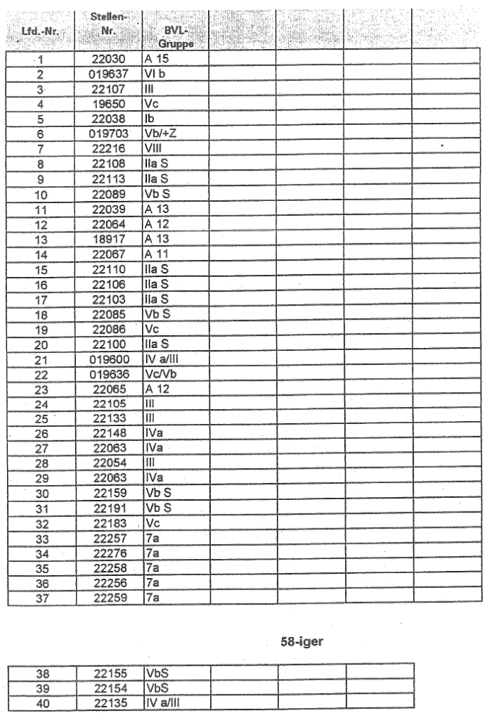
Die in den nachstehend angeführten Stellen geführten Bediensteten werden in den ab 1. Jan. 1999 zu gründenden Bremer Bau Betrieb übergeleitet
| 1. | vom Bremer Hochbaumanagement |
zum |
|
| 2. | vom Bauamt Bremen Nord | zum | BBB |
| 3. | Von Hansestadt Bremisches Hafenamt | zum |
|
Zu 1.

Zu 2.

Zu 3.
